logo

Crowdly

Browser

Add to Chrome

Математика (ЗО_У_ИСТз-43у,ИСТз-44у_2024-2025_ИCТ_Летняя сессия - 1 курс)

Looking for Математика (ЗО_У_ИСТз-43у,ИСТз-44у_2024-2025_ИCТ_Летняя сессия - 1 курс) test answers and solutions? Browse our comprehensive collection of verified answers for Математика (ЗО_У_ИСТз-43у,ИСТз-44у_2024-2025_ИCТ_Летняя сессия - 1 курс) at moodle.psuti.ru.

Get instant access to accurate answers and detailed explanations for your course questions. Our community-driven platform helps students succeed!

Первообразной функции является функция
0%
100%
0%
0%
0%
View this question
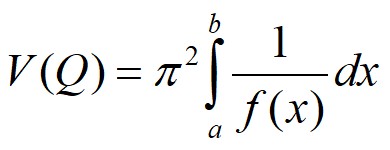
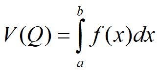
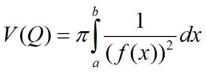
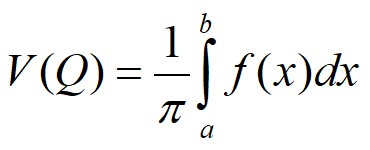
Тело Q получено вращением графика функции y/=1/f(x), определенной на отрезке [a,b], вокруг оси OX. Тогда его объем следует находить по формуле
0%
0%
100%
0%
0%
View this question
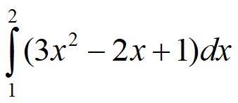
Интеграл равен
0%
0%
0%
0%
0%
View this question
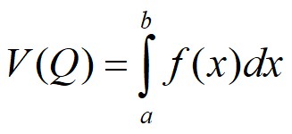
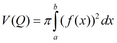
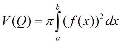
Тело Q получено вращением графика функции y=f(x), определенной на отрезке [a,b], вокруг оси OX. Тогда его объем следует находить по формуле
100%
0%
0%
0%
0%
View this question
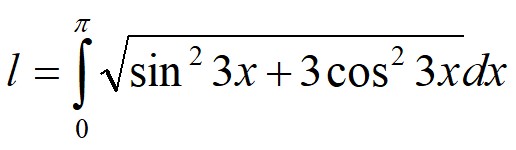
Вычислить интеграл (введите число).
View this question
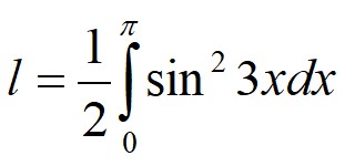
Дана функция . Тогда длина дуги графика этой функции, заключенной между прямыми и выражается формулой
0%
0%
0%
100%
0%
View this question
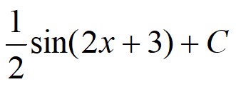
Найти , если .
View this question
Функция в точке (0,0) имеет
0%
0%
100%
0%
0%
View this question

Want instant access to all verified answers on moodle.psuti.ru?

Get Unlimited Answers To Exam Questions - Install Crowdly Extension Now!

Browser

Add to Chrome