logo

Crowdly

Browser

Add to Chrome

Matematikai logika (GINFVA0201-2025261-C1-GINFVA0201)

Looking for Matematikai logika (GINFVA0201-2025261-C1-GINFVA0201) test answers and solutions? Browse our comprehensive collection of verified answers for Matematikai logika (GINFVA0201-2025261-C1-GINFVA0201) at moodle.pte.hu.

Get instant access to accurate answers and detailed explanations for your course questions. Our community-driven platform helps students succeed!

A "24-gyel való oszthatóságnak" szükséges és elégséges feltétele a(z) való oszthatóság.
View this question
Melyek igaz és melyek hamis állítások az alábbi keretben?

1. Egy formulát kontingensnek nevezünk, ha van olyan interpretáció, amikor hamis, és van olyan interpretáció, amikor igaz.

2. A láncszabály egy következtetési séma.

3. Ebben a keretben legfeljebb 2 állítás hamis.

4. Ebben a keretben legfeljebb 3 állítás hamis.

5. Ebben a keretben legfeljebb 2 állítás igaz.
0%
100%
0%
0%
100%
View this question
A műveletet hogyan értelmezzük?
0%
0%
0%
0%
0%
View this question

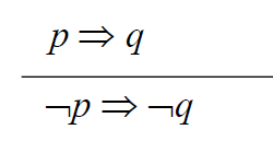
Helyes-e az alábbi kijelentéslogikai következtetési séma?

Ha p, akkor q. Igaz-e ekkor, hogy ha nm p akkor nem q?

0%
100%
View this question

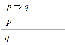
Helyes-e a keretben látható (kijelentés-logikai) következtetési séma? 

Ha p, akkor q és q. Következik-e ebből, hogy p is teljesül?

100%
0%
View this question

Ekvivalensek-e az alábbi formulák?

   és   

100%
0%
View this question

Ekvivalensek-e az alábbi formulák?

   és   

0%
100%
View this question

Mivel egyenértékű a formula?

0%
100%
0%
0%
0%
View this question

Döntse el, hogy az alábbi formula kontingens, kontradikció vagy tautológia!

0%
100%
0%
View this question

Döntse el, hogy az alábbi formula kontingens, kontradikció vagy tautológia!

0%
0%
0%
View this question

Want instant access to all verified answers on moodle.pte.hu?

Get Unlimited Answers To Exam Questions - Install Crowdly Extension Now!

Browser

Add to Chrome