logo

Crowdly

Browser

Add to Chrome

25-26 CS2850: Operating Systems

Looking for 25-26 CS2850: Operating Systems test answers and solutions? Browse our comprehensive collection of verified answers for 25-26 CS2850: Operating Systems at moodle.royalholloway.ac.uk.

Get instant access to accurate answers and detailed explanations for your course questions. Our community-driven platform helps students succeed!

Which of the following is not a basic data type in C?

0%
0%
0%
0%
0%
0%
0%
0%
View this question

Let a1.out and a2.out be the executable files obtained by running 

 gcc -Wall -Werror -Wpedantic -o a1.out helloWorld1.c

and 

 gcc -Wall -Werror -Wpedantic -o a2.out helloWorld2.c
where helloWorld1.c is  

#include <stdio.h>

int main() {

int i = 2;

if (i==1) {

printf("hello world!\n");

i++;

}

if (i>1) printf("hello world!\n");

}

and helloWorld2.c is  

#include <stdio.h>

int main() {

int i = 2;

if (i==1) {

printf("hello world!\n");

i++;
                  if (i>1) printf("hello world!\n")
                  }
}

Select the true statements.

View this question

Let a.out be the executable file obtained by running

gcc -Wall -Werror -Wpedantic helloWorld.c

where helloWorld.c is the code given below

 

#include <stdio.h>

#define N 10

int main() {

        for (int i = 2; i < N; i = i * 2) printf("%d) hello world!\n", i);

}
View this question

Navigate to the directory you created for this week's lab exercise, CS2850Labs\week1. Recompile your program helloWorld.c as described in the lab sheet and check that your directory contains a new file called a.out. Open a.out with VIM by entering

vim a.out

In Escape mode, type 

:%!xxd -b

What do you see?

 

View this question

Select all the correct statements about Android:

View this question

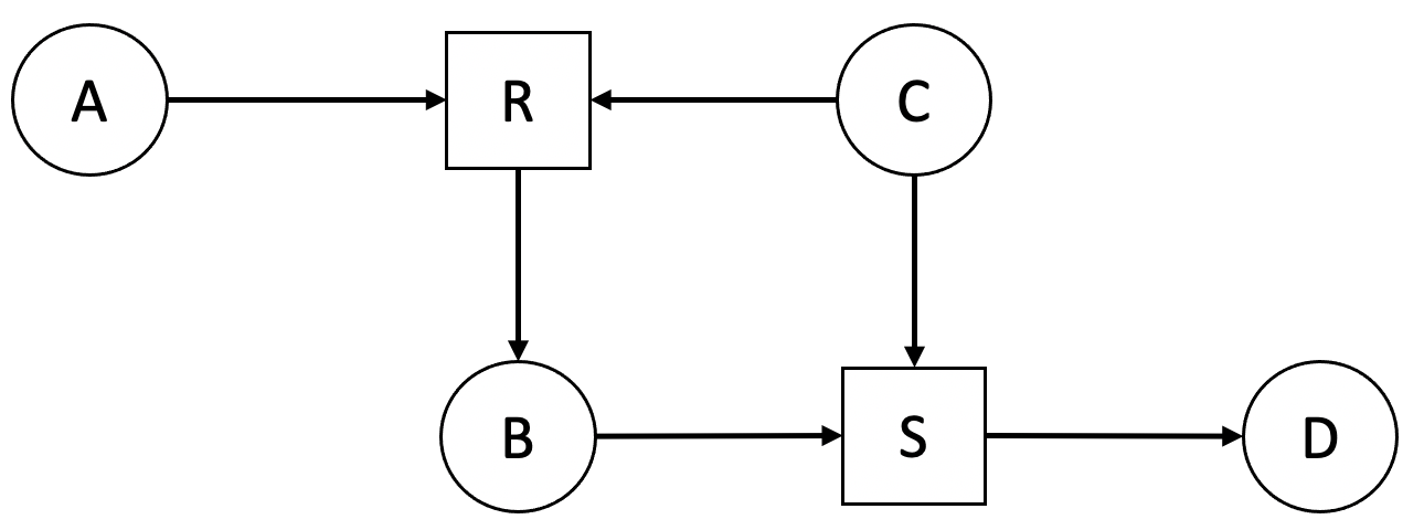
A process declares a variable x, initialises it to 0, and then calls clone with CLONE_VM not set. The child process created by clone sets x to 3 and exits. Finally, the parent process prints x out. Which value is printed?

View this question

Select all the correct statements about Linux file systems:

View this question

Select all the correct statements about scheduling in Linux:

View this question

Which of the following operations are performed by Linux when a process calls exec()?

View this question

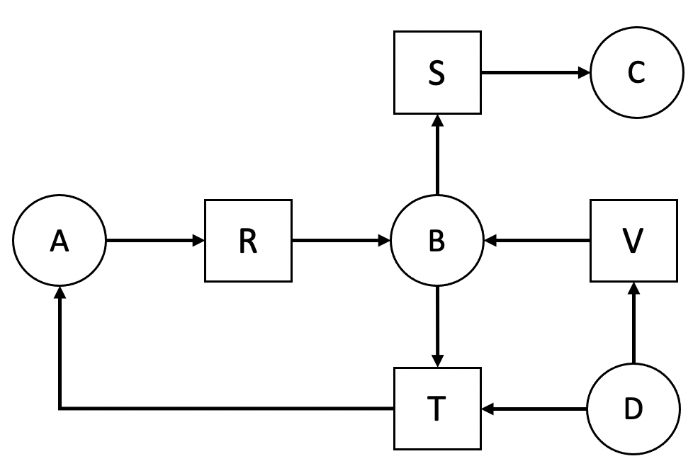
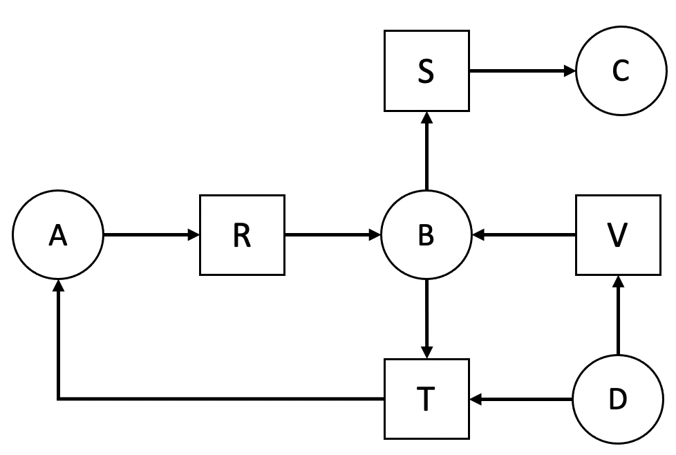
Which of the following lists does not correspond to a valid execution of the deadlock detection algorithm on the following resource allocation graph, with starting node B?

0%
0%
0%
View this question

Want instant access to all verified answers on moodle.royalholloway.ac.uk?

Get Unlimited Answers To Exam Questions - Install Crowdly Extension Now!

Browser

Add to Chrome