logo

Crowdly

Browser

Add to Chrome

IAX0010 Diskreetne matemaatika (2025 sügis)

Looking for IAX0010 Diskreetne matemaatika (2025 sügis) test answers and solutions? Browse our comprehensive collection of verified answers for IAX0010 Diskreetne matemaatika (2025 sügis) at moodle.taltech.ee.

Get instant access to accurate answers and detailed explanations for your course questions. Our community-driven platform helps students succeed!

Millised järgnevad võrdused  kehtivad alati   (ehk kehtivad suvaliste muutajaväärtuste  X1  X2  X3   korral) ?
0%
0%
0%
View this question
Leia vastavad (võrdsed) avaldised
View this question
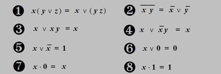
Millised järgnevad võrdused on loogikaalgebra põhiseosteks  (ehk kehtivad nende muutujate   x  y  z   suvaliste väärtuste korral)
0%
0%
0%
0%
0%
View this question
Sea võrdsed avaldised omavahel vastavaks
View this question
Millised järgnevad võrdused  kehtivad alati   (ehk kehtivad suvaliste muutajaväärtuste  X1  X2  X3   korral) ?
0%
0%
0%
0%
0%
0%
0%
View this question
Leia vastavad (võrdsed) avaldised
View this question
Millised järgnevad võrdused on  loogikaalgebra põhiseosed  (ehk kehtivad oma muutujate  x  y  z  suvaliste väärtuste korral)
0%
0%
0%
View this question
Millised järgnevad võrdused on loogikaalgebra põhiseosteks  (ehk kehtivad nende muutujate   x  y  z   suvaliste väärtuste korral)
0%
0%
0%
0%
0%
View this question
Millised järgnevad võrdused on  loogikaalgebra põhiseosed  (ehk kehtivad oma muutujate  x  y  z  suvaliste väärtuste korral)
0%
0%
50%
50%
View this question
Leia vastavad (võrdsed) avaldised
View this question

Want instant access to all verified answers on moodle.taltech.ee?

Get Unlimited Answers To Exam Questions - Install Crowdly Extension Now!

Browser

Add to Chrome