logo

Crowdly

Browser

Add to Chrome

IAX0010 Diskreetne matemaatika (2025 sügis)

Looking for IAX0010 Diskreetne matemaatika (2025 sügis) test answers and solutions? Browse our comprehensive collection of verified answers for IAX0010 Diskreetne matemaatika (2025 sügis) at moodle.taltech.ee.

Get instant access to accurate answers and detailed explanations for your course questions. Our community-driven platform helps students succeed!

Millistest tehetest ja väärtustest koosneb  loogikaalgebra ?
0%
0%
0%
0%
0%
0%
View this question

Millisel tingimusel on 2 loogikaavaldist teineteisega võrdsed ?

View this question
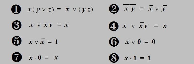
Millised järgnevad võrdused on  loogikaalgebra põhiseosed  (ehk kehtivad oma muutujate  x  y  z  suvaliste väärtuste korral)
0%
0%
0%
0%
0%
0%
0%
0%
View this question
Millised järgnevad võrdused on loogikaalgebra põhiseosteks  (ehk kehtivad nende muutujate   x  y  z   suvaliste väärtuste korral)
0%
0%
0%
0%
0%
View this question
Märgista järgnevas loetelus need nimed, mis loogikaseaduste hulgas tõepoolest eksisteerivad:
0%
0%
0%
0%
0%
View this question
Kui loogikaavaldises pole sulgudega määratud tehete järjekorda, siis KONJUNKTSIOONi, DISJUNKTSIOONi  ja  INVERSIOONi leidumisel avaldises . . .
View this question
Mida tähendab hüüumärgiga eksistentsikvantor?
0%
0%
View this question
Vali loetelust õige alternatiivne nimetus nendele loogikatehetele.
View this question
Milliste loogikatehete jaoks on operandide järjekord oluline?
0%
0%
0%
0%
0%
View this question
Loogikatehetel on olemas võõrsõnalised nimetused.
View this question

Want instant access to all verified answers on moodle.taltech.ee?

Get Unlimited Answers To Exam Questions - Install Crowdly Extension Now!

Browser

Add to Chrome