logo

Crowdly

Browser

Add to Chrome

IDK0043 IT alused I (sügis 2025)

Looking for IDK0043 IT alused I (sügis 2025) test answers and solutions? Browse our comprehensive collection of verified answers for IDK0043 IT alused I (sügis 2025) at moodle.taltech.ee.

Get instant access to accurate answers and detailed explanations for your course questions. Our community-driven platform helps students succeed!

Andmed on MS Exceli failis (sama nimekiri on ka tekstifailis).

Mitu paari sama nimega inimesi on selles tabelis? NB! isikukoodid on erinevad! Soovitav on kasutada liigendtabelit (Pivot Table). 

View this question

Exceli töölehe lahtrile on vaja määrata nimi summa. Sellist nime töövihikus varem ei ole. Kuidas käituda?

0%
View this question

Avada fail. Arvutada, mitu meest elab Rakveres.

View this question

Lahtris B4 on antud

isiku sünnikuupäev.

Mis valemiga saab

leida kuupäev, millal isik on elanud 10000 päeva?

0%
0%
0%
View this question

Andmed on failis Nimekiri testile.

Mitmes kirjes on isikukoodis kodeeritud valesti sugu või sünnikuupäev?

View this question

Antud valemiga saab leida, kas arv a on positiivne, negatiivne või null.

=IF(a=0;"Null");IF(a>0;"Positiivne";"Negatiivne")

0%
100%
View this question

Lahtris B3 on antud

tööalguse kellaaeg hommikul, lahtris B4 on antud töö lõpetamise aeg õhtul samal

päeval.

Mis valemiga saab

leida töötundide arv?

Algandmete vorming on

"hh:mm". Vastus saada vormingus General.

0%
0%
0%
View this question

Lahtris B4 on antud

isiku sünnikuupäev.

Mis valemiga saab

leida sündimise nädalapäeva number (1 - esmaspäev … 7 - pühapäev)?

0%
50%
View this question

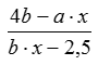
Koostada tabeltöötluse rakenduse jaoks alltoodud avaldise väärtust arvutav valem.

Valem algab võrdusmärgiga, viitamisel andmetele kasutada avaldises toodud nimesid (a, b, x).

Valem peaks olema võimalikult lühike. Kasutada sulgusid ainult siis, kui see on hädavajalik. Vahetada ei tohi liidetavate ja tegurite järjekorda ning olla ei või ka ülearuseid tühikuid.

View this question

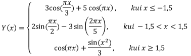
Valida pildile vastav Exceli valem(-id)

0%
50%
50%
0%
View this question

Want instant access to all verified answers on moodle.taltech.ee?

Get Unlimited Answers To Exam Questions - Install Crowdly Extension Now!

Browser

Add to Chrome