logo

Crowdly

Browser

Add to Chrome

EEA5012 Ehitusfüüsika alused (2025 sügis)

Looking for EEA5012 Ehitusfüüsika alused (2025 sügis) test answers and solutions? Browse our comprehensive collection of verified answers for EEA5012 Ehitusfüüsika alused (2025 sügis) at moodle.taltech.ee.

Get instant access to accurate answers and detailed explanations for your course questions. Our community-driven platform helps students succeed!

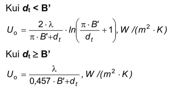
Põranda soojusläbivuse leidmise lihtsustatud meetod (EVS EN ISO 13770). Vali õige(d) laused.

100%
0%
0%
100%
View this question

Leiad põranda soojusläbivust EVS-EN ISO 13370 meetodiga, antud on põrandaplaan.

Leia õige(d) iseloomuliku mõõdu

arvutusskeem(id).

Tingmärgid:

100%
0%
100%
0%
0%
View this question

Järjesta piirded soojusläbivuse järjekorras madalamast suuremaks.

(eeldused: konstruktsioon on sama ning mõlemalt poolt õhuga kontaktis)

(Selles ülesandes vale valikut ei karistata ja sama vastust võib ka mitu korda kasutada)

View this question

Olemasoleva piirde

soojusläbivus on 1 W/(m²·K). Kui paks peaks olema lisatava soojustuse (

λU

= 0.088 W/(m·K) paksus, et läbi piirde liiguks 4.2

korda vähem soojust? Parandite jms-ga mitte arvestada.

Vastuse anna palun MEETRITES kolme komakoha täpsusega.

View this question

Kumb on ülal näidatud temperatuurijaotuse graafikul tõhusam soojustusmaterjal?

0%
100%
View this question

Eeldades 1-dimensioonilist piiret, ühtlast materjali ja muutumatuid materjalomadusi, siis mis on kujutatud graafiku

y-teljel?

0%
0%
0%
100%
View this question

Vali ehitusmaterjalide kontekstis korrektsed väited

0%
0%
100%
100%
0%
100%
View this question

Allpool on esitatud graafik, kuidas mõjutab mineraalvilla tihedus soojuslevikomponente tema sees.

Ühenda soojusleviviiside tähised kirjeldusega.

(Selles ülesandes vale valikut ei karistata ja sama vastust võib ka mitu korda kasutada)

View this question
Nimeta soojusleviviis(id):
100%
100%
0%
100%
0%
0%
View this question

Vali õige(d) lause(d).

0%
0%
0%
0%
0%
View this question

Want instant access to all verified answers on moodle.taltech.ee?

Get Unlimited Answers To Exam Questions - Install Crowdly Extension Now!

Browser

Add to Chrome