logo

Crowdly

Browser

Add to Chrome

Física II (Prof. Henry Sanchez)

Looking for Física II (Prof. Henry Sanchez) test answers and solutions? Browse our comprehensive collection of verified answers for Física II (Prof. Henry Sanchez) at moodle.uneg.edu.ve.

Get instant access to accurate answers and detailed explanations for your course questions. Our community-driven platform helps students succeed!

Image failed to load

Indique los campos eléctricos para un radio r>b que no son soluciones correctas.

0%
0%
0%
0%
0%
0%
0%
View this question
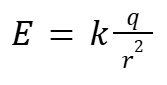
Es el campo eléctrico cuando los cilindros tienen cargas  +q y -q respectivamente.

Empareje las respuestas correctas

View this question

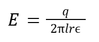
Una carga +2q se ubica en el centro de un cascarón esférico metálico de radio interno a y radio externo b. El mismo está cargado con una carga -5q.

Si

View this question

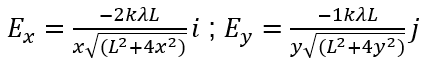
Dos alambres no conductores de 1.20 m forman

un ángulo recto. Un segmento tiene +35mC de carga, distribuida uniformemente a

lo largo de su longitud; mientras que el otro segmento tiene -35 nC de carga

distribuida de modo uniforme a lo largo de su longitud.

 

Las componentes del campo eléctrico

resultante  que producen estos dos

alambres en el punto P es:

 

0%
100%
0%
0%
0%
View this question

0%
0%
0%
0%
0%
View this question

Dos alambres no conductores de 1.20 m forman

un ángulo recto. Un segmento tiene +35nC de carga, distribuida uniformemente a

lo largo de su longitud; mientras que el otro segmento tiene -35 nC de carga

distribuida de modo uniforme a lo largo de su longitud.

La dirección resultante del campo eléctrico es:

0%
0%
0%
0%
0%
View this question

Want instant access to all verified answers on moodle.uneg.edu.ve?

Get Unlimited Answers To Exam Questions - Install Crowdly Extension Now!

Browser

Add to Chrome