logo

Crowdly

Browser

Add to Chrome

Mesterséges intelligencia alapjai (VEMISAB254MV/2024/25/2)

Looking for Mesterséges intelligencia alapjai (VEMISAB254MV/2024/25/2) test answers and solutions? Browse our comprehensive collection of verified answers for Mesterséges intelligencia alapjai (VEMISAB254MV/2024/25/2) at moodle.uni-pannon.hu.

Get instant access to accurate answers and detailed explanations for your course questions. Our community-driven platform helps students succeed!

Adott a gyakorlati kurzuson megismert lapkás játék alábbi ábrán látható kezdőállapota. Vezesse le a példára az "Greedy Best First Search" (GBFS) algoritmust oly módon, hogy a heurisztikát minden állapotra a nem megfelelő helyen levő lapkák a helyes pozícióhoz viszonyított Manhattan távolságainak összege adja (az X ugyanúgy nem számít bele az összes lapka számába, és egy adott lapka Manhattan távolsága az adott lapka helyes pozíciójához mért vízszintes és függőleges távolságainak összege)! A célállapot alább látszik. Az algoritmus futása a célállapot Open listabeli 1. pozíciójába kerüléséig futtatandó. Az algoritmus leállásakor mennyi az Open listában található elemek fNem értékeinek összege? (Pl. A(1), B(2), C(3), D(4) >>> SZUM: 10) Adja meg ezt az értéket válaszként!

Kezdőállapot:

Célállapot:

View this question

Adott a gyakorlati kurzuson megismert lapkás játék alábbi ábrán látható kezdőállapota. Vezesse le a példára az A* algoritmust oly módon, hogy a heurisztikát minden állapotra a nem megfelelő helyen levő lapkák Manhattan távolságainak összege adja (az X ugyanúgy nem számít bele az összes lapka számába, és egy adott lapka Manhattan távolsága az adott lapka helyes pozíciójához mért vízszintes és függőleges távolságainak összege)! A célállapot alább látszik. Az algoritmus futása a célállapot Open listabeli 1. pozíciójába kerüléséig futtatandó. Az algoritmus leállásakor mennyi az Open listában található elemek fNem értékeinek összege? (Pl. A(1), B(2), C(3), D(4) >>> SZUM: 10) Adja meg ezt az értéket válaszként!

Kezdőállapot:

Célállapot:

View this question

Adott a gyakorlati kurzuson megismert lapkás játék alábbi ábrán látható kezdőállapota. Vezesse le a példára a "Greedy Best First Search" (GBFS) algoritmust oly módon, hogy a heurisztika minden állapotra a nem megfelelő helyen levő lapkák száma legyen (az X ugyanúgy nem számít bele az összes lapka számába)! A célállapot alább látszik. Az algoritmus futása a célállapot Open listabeli 1. pozíciójába kerüléséig futtatandó. Az algoritmus leállásakor mennyi az Open listában található elemek fNem értékeinek összege? (Pl. A(1), B(2), C(3), D(4) >>> SZUM: 10) Adja meg ezt az értéket válaszként!

Kezdőállapot:

Célállapot:

View this question

Adott a gyakorlati kurzuson megismert lapkás játék alábbi ábrán látható kezdőállapota. Vezesse le a példára az A* algoritmust oly módon, hogy a heurisztika minden állapotra a nem megfelelő helyen levő lapkák száma legyen (az X ugyanúgy nem számít bele az összes lapka számába)! A célállapot alább látszik. Az algoritmus futása a célállapot Open listabeli 1. pozíciójába kerüléséig futtatandó. Az algoritmus leállásakor mennyi az Open listában található elemek fNem értékeinek összege? (Pl. A(1), B(2), C(3), D(4) >>> SZUM: 10) Adja meg ezt az értéket válaszként!

Kezdőállapot:

Célállapot:

View this question

Adott az alábbi állapotteret reprezentáló gráf. Végezzen rajta mélységi keresést úgy, hogy l=2 mélységi korlátot alkalmaz! A bejárást üres Open listáig hajtsa végre! Mi lesz az Open lista első elemeinek fentről lefelé történő összeolvasásának eredménye? Válaszát szóközök és vesszők nélkül adja meg CSUPA NAGYBETŰVEL (pl. ABCDE)! Válaszában ne szerepeljen üres listát reprezentáló karakter!

View this question

Tekintsük  az alábbi gráfot, amelyen a mélységi bejárás algoritmusát futtatjuk:

Graf

Induláskor (1. lépés) az OPEN lista tartalma: [0]

Melyek lehetnek helyes OPEN listák a 3. lépésben?

Akár több helyes válasz is lehetséges, a rossz válaszok pontlevonással járnak.

0%
0%
0%
0%
0%
0%
0%
0%
View this question

Van három kancsónk: egy öt literes, egy három literes és egy két literes.

Az öt literes kancsó tele van vízzel. A kancsókon semmilyen mérésre alkalmas jelzés nincsen.

A cselekvés amire képesek vagyunk, hogy töltögetünk egyik kancsóból a másikba.

A feladat egy tetszőleges állapota: (a1, a2, a3), ahol a1 a két literes kancsó, a2 a három literes kancsó, a3 az öt literes kancsó tartalmát adja meg. A feladat kezdőállapota (0,0,5).

Add meg a fenti feladat állapotgráfjában a (2,1,2) állapotból közvetlenül elérhető (szomszédos) állapotokat!

Akár több helyes válasz is lehetséges, a rossz válaszok pontlevonással járnak.

0%
0%
0%
0%
0%
0%
View this question

A szélességi keresés algoritmusát futtatjuk egy 6 csúcspontból álló gráfon.

A gráf csúcsai: {B, C, D, E, F, G}.

A szélességi keresés futásának egy állapotában az OPEN lista tartalma: [C,D,E]

Mi lehet a közvetlenül soron következő lépésben az OPEN lista tartalma? 

Akár több helyes válasz is lehetséges, a rossz válaszok pontlevonással járnak.

0%
0%
0%
0%
0%
0%
0%
0%
View this question

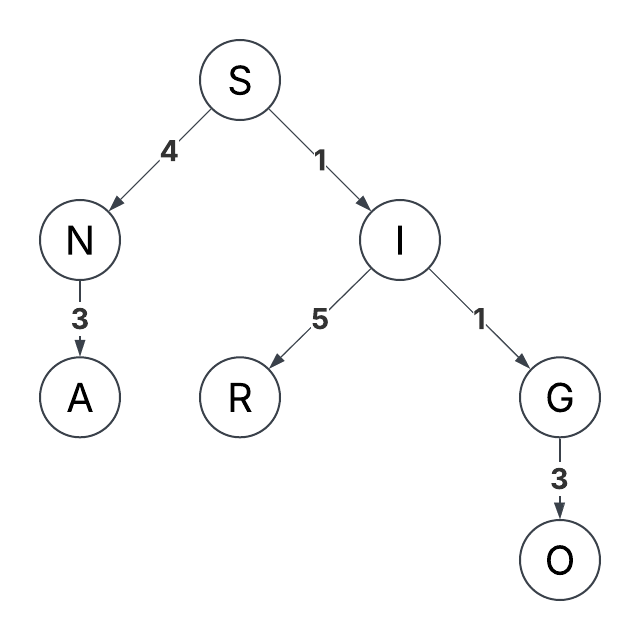
Adott az alábbi állapotteret reprezentáló gráf. Végezzen rajta EGYENLETES KÖLTSÉGŰ keresést! A bejárást üres Open listáig hajtsa végre! Mi lesz az Open lista első elemeinek fentről lefelé történő összeolvasásának eredménye? Válaszát szóközök és vesszők nélkül adja meg CSUPA NAGYBETŰVEL (pl. ABCDE)! Válaszában ne szerepeljen üres listát reprezentáló karakter!

View this question

Egy neuronnak pontosan egy bemenete és egy kimenete van.

0%
100%
View this question

Want instant access to all verified answers on moodle.uni-pannon.hu?

Get Unlimited Answers To Exam Questions - Install Crowdly Extension Now!

Browser

Add to Chrome