logo

Crowdly

Browser

Add to Chrome

Adatstruktúrák és algoritmusok I. [H] (VEMISAB244DF/2024/25/2)

Looking for Adatstruktúrák és algoritmusok I. [H] (VEMISAB244DF/2024/25/2) test answers and solutions? Browse our comprehensive collection of verified answers for Adatstruktúrák és algoritmusok I. [H] (VEMISAB244DF/2024/25/2) at moodle.uni-pannon.hu.

Get instant access to accurate answers and detailed explanations for your course questions. Our community-driven platform helps students succeed!

Az alábbi páros gráf maximális párosítását keressük (a sárga és a kék csúcsok között):

Image failed to load: Algorithm for finding a maximal matching in a bi-partite graph Solving the matching problem as a maximum network flow problem The maximal matching problem in a bi-partite graph can be transformed into a maximum network flow problem. Add a source S ...

Hány elemű a maximális párosítás élhalmaza?

View this question

A maximális párosítást előállító algoritmus használata során minden él súlya +1 vagy -1, attól függően, hogy kimenő vagy bemenő élről van-e szó.

0%
0%
View this question

Tekintsük az alábbi folyamot.

Image failed to load: enter image description here

Mennyi a minimális vágás értéke ennek a hálózatnak?

View this question

Mennyi a maximális folyam értéke az alábbi hálózat esetén?

Image failed to load: enter image description here

View this question

Tekintsük az alábbi hálózatot és az ehhez tartozó folyamot.

Legyen egy vágása a fenti hálózati folyamnak: ({s, v1, v3},{v2, v4, t}). Azaz S={s, v1, v3}, T={v2, v4, t}.

Mennyi az (S, T) vágáson keresztülfolyó folyam értéke?

View this question

Tekintsük az alábbi hálózatot és az ehhez tartozó folyamot.

Legyen egy vágása a fenti hálózati folyamnak: ({s, v1, v3},{v2, v4, t}). Azaz S ={s, v1, v3}, T={v2, v4, t}.

Mennyi az (S, T) vágás kapacitása?

View this question

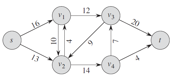
Futtassuk le az Edmonds-Karp algoritmust az alábbi hálózaton:

Hány alkalommal talál javító utat az algoritmus?

View this question

Egy G hálózat tetszőleges folyamának a nagysága nem lehet nagyobb, mint bármely vágásának az értéke.

0%
0%
View this question

Adott egy tetszőleges G(V,E) élsúlyozott, irányított, körmentes gráf, ahol minden él súlya nem-negatív. Mely algoritmusokat használhatjuk az adott csúcsból induló legrövidebb utak meghatározására, ha biztosan helyes eredményt szeretnénk kapni?

0%
0%
0%
View this question

Adott egy tetszőleges G(V,E) élsúlyozott, irányított, körmentes gráf. Mely algoritmusokat használhatjuk az adott csúcsból induló legrövidebb utak meghatározására, ha biztosan helyes eredményt szeretnénk kapni?

0%
0%
View this question

Want instant access to all verified answers on moodle.uni-pannon.hu?

Get Unlimited Answers To Exam Questions - Install Crowdly Extension Now!

Browser

Add to Chrome