logo

Crowdly

Browser

Add to Chrome

Sistemas digitales (2MB)

Looking for Sistemas digitales (2MB) test answers and solutions? Browse our comprehensive collection of verified answers for Sistemas digitales (2MB) at moodle.upm.es.

Get instant access to accurate answers and detailed explanations for your course questions. Our community-driven platform helps students succeed!

¿Que número mínimo de biestables tendriamos que utilizar si en vez de cuatro estados (como el detector de secuencia explicado en clase), un nuevo diseño tuviera 3 estados?

View this question

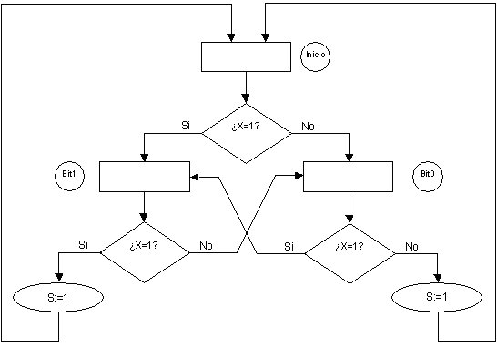
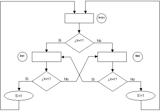
En la figura, entre los estados Bit1 e Inicio hay

0%
0%
100%
View this question

El diagrama ASM de la figura corresponde a

0%
0%
0%
View this question

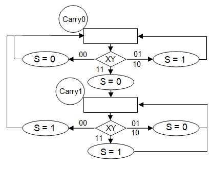
El circuito representado en la figura responde al comportamiento de un sistema secuencial

100%
0%
0%
View this question

El diagrama ASM que aparece en la siguiente figura

corresponde al comportamiento de un circuito secuencial

0%
0%
0%
View this question

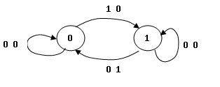
La evolución de un circuito secuencial viene reflejado en el siguiente diagrama

el número mínimo de variables de estado del sistema secuencial es:

100%
0%
0%
View this question

La figura adjunta representa

0%
0%
0%
View this question

La diferencia entre una máquina de Moore y una de Mealy radica en

View this question

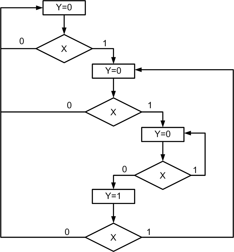
El siguiente diagrama de flujo

corresponde a

0%
0%
0%
View this question

El circuito descrito mediante la siguiente tabla de verdad corresponde a

View this question

Want instant access to all verified answers on moodle.upm.es?

Get Unlimited Answers To Exam Questions - Install Crowdly Extension Now!

Browser

Add to Chrome