logo

Crowdly

Browser

Add to Chrome

Química (ETSIDI)

Looking for Química (ETSIDI) test answers and solutions? Browse our comprehensive collection of verified answers for Química (ETSIDI) at moodle.upm.es.

Get instant access to accurate answers and detailed explanations for your course questions. Our community-driven platform helps students succeed!

En el punto de equivalencia el pH aumenta significativamente con una cantidad grande de base añadida.

0%
0%
View this question

En la zona de menor pendiente de la izquierda de la curva hay un exceso de ácido.

100%
0%
View this question

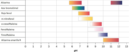
Según esta imagen, el indicador que debemos elegir para esta titulación es la fenolftaleína.

100%
0%
View this question

Las rayas discontinuas horizontales muestran el punto de equivalencia.

0%
100%
View this question

En el eje de ordenadas están el volumen de agente valorante añadido.

0%
100%
View this question

Si el cocientede reacción (Q) es menor que la constante de equilibrio (K), el sistema evolucionará:

0%
0%
0%
100%
View this question

El estado de equilibrio se alcanza cuando la concentración de los reactivos se iguala a la concentración de los productos. 

0%
0%
View this question

La dependencia de la constante de equilibrio con la temperatura es la siguiente: 

Suponiendo que ΔrHº y ΔrSº son independientes de la temperatura, ¿qué efecto provoca el aumento de temperatura en el sistema?

0%
0%
0%
View this question

¿Cuál de las siguientes variables no afecta a las concentraciones en el equilibrio químico del sistema C(s) + H2O (g) ↔ CO (g) + H2 (g)?

0%
100%
0%
0%
View this question

Si en una reacción entre productos gaseosos en equilibrio se cumple que KC = KP, significa que: 

0%
100%
0%
0%
View this question

Want instant access to all verified answers on moodle.upm.es?

Get Unlimited Answers To Exam Questions - Install Crowdly Extension Now!

Browser

Add to Chrome