logo

Crowdly

Browser

Add to Chrome

Electrónica_S2

Looking for Electrónica_S2 test answers and solutions? Browse our comprehensive collection of verified answers for Electrónica_S2 at moodle.upm.es.

Get instant access to accurate answers and detailed explanations for your course questions. Our community-driven platform helps students succeed!

El principio de superposición puede aplicarse con componentes no lineales como los diodos
0%
100%
View this question

La forma de onda de la figura representa una señal
0%
0%
0%
0%
View this question

La curva I-V de la figura representa un circuito abierto
0%
0%
View this question

La tensión equivalente de Thévenin entre A y B se corresponde con la del divisor de tensión: Vs·R2/(R1+R2)
0%
0%
View this question

La señal de la figura tiene
0%
0%
0%
0%
View this question

La figura muestra la curva característica corriente-tensión de
0%
0%
0%
0%
View this question

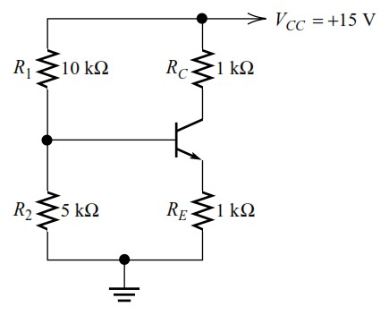
En el circuito de la figura con un transistor bipolar, ¿para qué utilizaría el teorema de Thévenin?
View this question

El circuito de la figura representa 
0%
0%
0%
0%
View this question

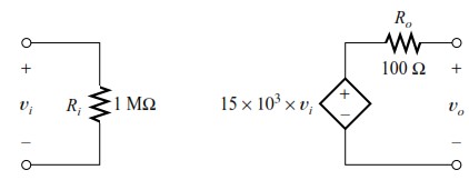
El cuadripolo de la figura representa
View this question

El circuito 1 puede sustituirse por su equivalente de Thévenin siempre y cuando

View this question

Want instant access to all verified answers on moodle.upm.es?

Get Unlimited Answers To Exam Questions - Install Crowdly Extension Now!

Browser

Add to Chrome