logo

Crowdly

Browser

Add to Chrome

[I15-S2] MAT1.005 NUMERICAL METHODS

Looking for [I15-S2] MAT1.005 NUMERICAL METHODS test answers and solutions? Browse our comprehensive collection of verified answers for [I15-S2] MAT1.005 NUMERICAL METHODS at moodle.usth.edu.vn.

Get instant access to accurate answers and detailed explanations for your course questions. Our community-driven platform helps students succeed!

Which of the following code snippets correctly demonstrates the use of an else statement in an if condition in MATLAB?
0%
0%
0%
0%
View this question

Which option can be filled in the blank in the following code in Matlab/Octave?

0%
0%
0%
0%
View this question
In Matlab/Octave, to clear the variable list, which command should be used?
100%
0%
0%
0%
View this question

Given the following code. If x = 80, what is the value of y?

100%
0%
0%
0%
View this question
What is the output of this Matlab code?

0%
0%
0%
100%
View this question
What is the difference between sqrt(10) and sqrt(sym(10))?
100%
0%
0%
0%
View this question
In Matlab/Octave, to clear the command window screen, which command should be used?
0%
0%
0%
0%
View this question

Given the following code snippet. Which numerical method is illustrated in this code?

0%
0%
0%
0%
0%
0%
View this question

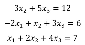
Given the following system of linear equations. A student write a program to solve this using Naive Gauss Elimination algorithm. What would be the outcome of this program?

0%
0%
100%
0%
0%
View this question

When solving a complicated equation, compare to analytical methods, which of the following are the advantages of numerical methods? (More than one correct answers)

0%
0%
0%
0%
View this question

Want instant access to all verified answers on moodle.usth.edu.vn?

Get Unlimited Answers To Exam Questions - Install Crowdly Extension Now!

Browser

Add to Chrome