logo

Crowdly

Browser

Add to Chrome

Matemaatiline maailmapilt (MTMM.00.342) KEVAD

Looking for Matemaatiline maailmapilt (MTMM.00.342) KEVAD test answers and solutions? Browse our comprehensive collection of verified answers for Matemaatiline maailmapilt (MTMM.00.342) KEVAD at moodle.ut.ee.

Get instant access to accurate answers and detailed explanations for your course questions. Our community-driven platform helps students succeed!

View this question

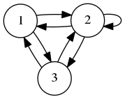
Vaatleme hulka , millel on defineeritud seos . Alloleval joonisel on tõmmatud nooleke tipust tippu parajasti siis, kui kehtib .

Märkida kõik tõesed väited.

100%
0%
0%
100%
100%
View this question
View this question
View this question

Millised järgnevatest nooldiagrammidest kujutavad ekvivalentsusseoseid hulgal ?

0%
0%
0%
0%
View this question

Vaatame seost hulgal , mis on defineeritud järgmiselt: . Millised järgmistest paaridest sobiksid kohale , et seos ei määraks funktsiooni?

0%
0%
0%
0%
View this question
View this question

Olgu ja hulgad. Märkida kõik tõesed väited.

0%
0%
0%
0%
0%
0%
0%
View this question
View this question
View this question

Want instant access to all verified answers on moodle.ut.ee?

Get Unlimited Answers To Exam Questions - Install Crowdly Extension Now!

Browser

Add to Chrome