logo

Crowdly

Browser

Add to Chrome

Automaadid, keeled ja translaatorid (LTAT.03.006)

Looking for Automaadid, keeled ja translaatorid (LTAT.03.006) test answers and solutions? Browse our comprehensive collection of verified answers for Automaadid, keeled ja translaatorid (LTAT.03.006) at moodle.ut.ee.

Get instant access to accurate answers and detailed explanations for your course questions. Our community-driven platform helps students succeed!

Millised järgmistest skeemidest kujutavad deterministlikku lõplikku automaati?

0%
0%
View this question

Millised järgmistest skeemidest kujutavad determineeritud lõplikku automaati?

0%
0%
0%
0%
0%
0%
0%
0%
View this question

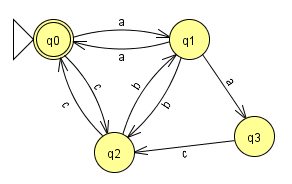
Märgi kõik väited, mis kehtivad järgneva automaadi A kohta:

View this question

Me jõuame siin varsti kutse-eetika juurde, aga kõigepealt peatume turvalisuse teemadel, sest üks selgemaid viise, kuidas me võime haiget teha inimestele on see, kui meie süsteem on ebaturvaline ja me ei suuda kaitsta meile lubatud andmed. NIST aruandes "An Analysis of Vulnerability Trends, 2008 - 2016" on uuritud viimastel aastate avastatud turvanõrkuste põhjusi. Neid on liigitatud kolmes kategoorias. Vaata nende graafiku (fig. 2) põhjal, kui suur oli iga liigi suhteline osakaal aastal 2016.

View this question

See on tegelikult täiesti hämmastav, et peaaegu kahe kolmandiku 2016. aastal leitud turvanõrkuste taga oli lihtsalt kehv programmeerimine. See aga tähendab, et maailma saaks väga palju turvalisemaks teha ainuüksi sellega, kui me lihtsalt tarkvara paremini arendaksime. Nad kirjutavad:

To see the potential for improving cybersecurity through basic development practice, consider the absolute numbers of vulnerabilities... Implementation errors [...] represent a total of 27,242 of the 37,325 categorized vulnerabilities, or 72.9% for the 2008-2016 period. Note in particular that two of the presumably simplest errors to prevent, basic input validation and buffer errors, account for more than a third of the implementation flaws.

Võta kõigepealt oma sõnadega kokku, mis nad ütlevad! Ei pea väga sõna-sõnalt tõlkima: võid isegi minu tõlgendust kasutada ja kirjutada lihtsalt "Parim küberkaitse on AKT". Ma siis muidugi eeldan, et Sa siiralt usud ka seda! naeratus  Igatahes, vähemalt ühe lause peab selle kohta kirjutama. Seejärel võid lisaks kirjutada ka oma mured/kommentaarid aine kohta.

View this question

Nüüd see küsimus kodutöö kohta, mida loengus ette võtame. Ma vaatasin üsna palju lahendusi läbi ja üldiselt oli probleeme tekitanud epsilon. Ise nii väike, aga pahandusi nii palju! Seepärast peaks jälle rõhutama, et ülesanne algus on kõige olulisem!

  • Kui said praktikumis tehtud DFAst aru, siis on tegelikult väga hästi.

  • Kui tegid edasi, et ilma epsilonita NFA töötab, siis võid endaga väga rahul olla.

  • Nende epsilon-tsüklitest jagu saamine ongi väga keeruline ja kui said nendest jagu, siis on ilmselt aeg juba tegevjuhiks hakata...

Nüüd aga tasub hoolikalt ka ikkagi vaadata meie näidislahendust. See lahendus on tegelikult väga hea, eriti tasub jälgida, kuidas alamfunktsioonideks on tööd jagatud: defineerime meetod step, mida kasutame sulundi arvutamiseks epsiloniga ja move meetodis tähega.

Aga mis veel? Mis väited kehtivad meie näidislahenduse kohta?

0%
0%
0%
0%
0%
View this question

Meil oli üsna keeruline kodutöö: teostada ja käivitada automaate. Kursus on seega läinud oluliselt raskemaks. Kuidas nüüd läheb? (Siin on jällegi kõik variandid õiged!)

0%
0%
0%
0%
0%
0%
View this question

Selle ja järgmise kodutööga me implementeerime regulaaravaldiste teisendamist automaatideks. See on siis leksiliste analüsaatorite tuumaks. Kui tekib küsimus, kas mõni kaine mõistusega inimene võiks tahta sellist ülesannet lahendada, siis on võib-olla hea teada, et kõige auväärsema lekseri generaatori, Lex, on kirjutanud ühe suure tarkvarafirma kauaaegne juht.

Kes järgmistest oli noorena lõplike automaatide tegevjuht?

0%
0%
0%
0%
View this question

Eesmärk oli siis harjutada seda, et igal olekul on oma tähendus. Praktikumis oli selline ülesanne, kus pidi joonistama automaat, mis tunneks ära sõnu üle tähestiku {a,b,x}, kus iga 'b' kõrval on 'a', s.t. kas vahetult enne või järel. Kas lahendasite seda nii, et iga oleku tähendus oli selge? Proovi järgmise lahenduse juures valida iga oleku juures tema tähendus.

automaat

View this question

Mis on meie eesmärk automaatide joonistamisülesannetega?

0%
0%
0%
0%
0%
View this question

Want instant access to all verified answers on moodle.ut.ee?

Get Unlimited Answers To Exam Questions - Install Crowdly Extension Now!

Browser

Add to Chrome