logo

Crowdly

Browser

Add to Chrome

Automatinio valdymo įrenginiai ir sistemos - laboratoriniai darbai (TIF)

Looking for Automatinio valdymo įrenginiai ir sistemos - laboratoriniai darbai (TIF) test answers and solutions? Browse our comprehensive collection of verified answers for Automatinio valdymo įrenginiai ir sistemos - laboratoriniai darbai (TIF) at moodle.vilniustech.lt.

Get instant access to accurate answers and detailed explanations for your course questions. Our community-driven platform helps students succeed!

Į ką geriausiai reguoja talpinis priartėjimo jutiklis?

0%
0%
0%
View this question

Kokį parametrą keičiant galima reguliuoti cilindro išvystomą jėgą?

0%
0%
0%
View this question

Ar optinio difuzinio (atspindžio) priartėjimo jutiklio poveikio atstumui turį įtakos "stebimo" objekto spalva?

View this question

Kokio tipo skirstytuvas pavaizduotas apačioje?

 

P. S. skirstytuvo tipas yra nustatomas pagal skirstytuvo portų ir padėčių skaičių.

View this question

Pasirinkite teisingas 5/2 skirstytuvo portų paskirtis.

 

View this question

Skirstant jutiklius į grupes pagal jutiklių išėjimo signalo pobūdį, A grupei priklauso šie jutikliai:

View this question

Ar gali jutiklis veikti fiziškai nekontaktuodamas su matuojamu kūnu?

View this question

Ar tiesa, kad egzistuoja bekočiai cilindrai, kuriose veikiamas suslėgto oro, stūmoklis laisvai juda cilindre, bet neturi mechaninio ryšio su išoriniu objektu?

100%
0%
View this question

Ar tiesa kad, talpinis jutiklis reaguoja tik į elektriškai laidžias medžiagas?

0%
0%
View this question

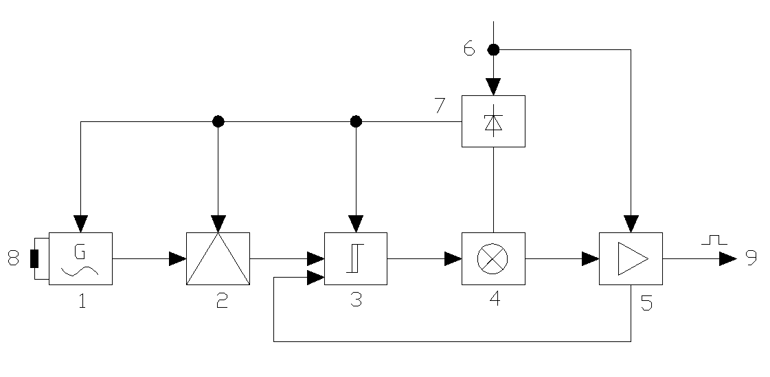
Teisingai įvardykite induktyvinio priartėjimo jutiklio funkcinės schemos blokus.

 

 

View this question

Want instant access to all verified answers on moodle.vilniustech.lt?

Get Unlimited Answers To Exam Questions - Install Crowdly Extension Now!

Browser

Add to Chrome