logo

Crowdly

Browser

Add to Chrome

BCSE302L Database Systems (Theory) Fall 2024-25 (A2+TA2) [VL2024250101736]

Looking for BCSE302L Database Systems (Theory) Fall 2024-25 (A2+TA2) [VL2024250101736] test answers and solutions? Browse our comprehensive collection of verified answers for BCSE302L Database Systems (Theory) Fall 2024-25 (A2+TA2) [VL2024250101736] at moovit.vit.ac.in.

Get instant access to accurate answers and detailed explanations for your course questions. Our community-driven platform helps students succeed!

Consider the following instances:

Which of the following relational operations will produce the following tuple only?

0%
0%
0%
0%
View this question

Consider a relation:

Employees (EmpID, Name, Age, Department)

With 10000 records, and frequent queries on Age.

Which indexing technique would improve query performance?

0%
0%
0%
0%
View this question

Given the relations:

Orders (OrderID, CustomerID, OrderDate)

Customers (CustomerID, Name, Address)

Choose the correct relational algebra expression to retrieve the names of customers who placed orders in 2022.

View this question

Consider the following schedule S involving five transactions T1,T2,T3,T4and T5:

Choose the correct option for the above transaction schedule.

0%
0%
0%
0%
View this question

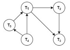
Consider the following precedence graph and identify the correct order of execution of the transactions. 

View this question

Choose the incorrect option(s) about indexing from the following

View this question

Consider the following relational schema for a university:

student(roll no, name, dob)

dept(deptNo, dName, location)

project(proj no, deptNo, roll no, pName)

Identify the correct relational algebraic expression for the following query: 

Find the names of students who have selected any project offered by the department “CSE”.

View this question

Consider the following tables:

Identify the correct operation(s) which will produce the following output from the above two relations.

0%
0%
0%
0%
View this question
Suppose that one memory block in a disk can store either 32 key pointers or 12 whole records. If a database file contains 1056 records, how many memory blocks do we need to store the data file and the dense index?
0%
0%
0%
0%
View this question

A database uses a hash index with chaining collision resolution.

What happens when inserting a record with a key that collides with an existing record?

0%
0%
0%
0%
View this question

Want instant access to all verified answers on moovit.vit.ac.in?

Get Unlimited Answers To Exam Questions - Install Crowdly Extension Now!

Browser

Add to Chrome