logo

Crowdly

Browser

Add to Chrome

BCSE307L Compiler Design (Theory) Fall 2025-26 (A2+TA2) [VL2025260101611]

Looking for BCSE307L Compiler Design (Theory) Fall 2025-26 (A2+TA2) [VL2025260101611] test answers and solutions? Browse our comprehensive collection of verified answers for BCSE307L Compiler Design (Theory) Fall 2025-26 (A2+TA2) [VL2025260101611] at moovit.vit.ac.in.

Get instant access to accurate answers and detailed explanations for your course questions. Our community-driven platform helps students succeed!

Consider the following Assembly code and identify what line(s) can be removed without affecting the original meaning 

Line 1: MOV   b, R0

Line 2:  ADD   c, R0

Line 3:  MOV   R0, a

Line 4:  MOV   a, R0

Line 4: ADD   e, R0

Line 5: MOV   R0, d

0%
0%
0%
0%
View this question

By using the approximate formula for usage count, determine the usage count/unit of cost for variable A in Block2 of the following data flow graph.

0%
0%
0%
0%
View this question

In register allocation, which of the following is most critical for minimizing memory access time?

0%
0%
100%
0%
View this question

Consider that there are two loops — L1 (outer loop) and L2 (inner loop).

Register allocation for variable ‘a’ is to be performed to some register.

 

If 'a' is allocated in L2 and not in L1 then which of the following code sequence(s) correctly represents the register assignment for variable ‘a’

— at the entrance to L2 and while leaving L2?

0%
0%
100%
0%
View this question

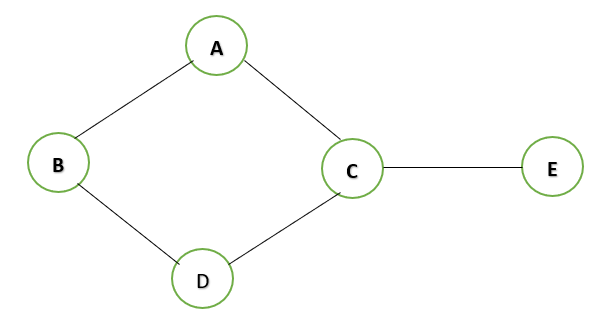
Given the following register interference graph:

Find the minimum number of registers required for register allocation using the Graph Coloring Method.

0%
0%
0%
0%
View this question

Find the suitable optimized code for the following code.

a=b+c

b=a-d

c=b+c

d=a-d

0%
0%
0%
0%
View this question

Choose the right data flow equation for out[B3] in the following diagram

0%
0%
0%
100%
View this question

Want instant access to all verified answers on moovit.vit.ac.in?

Get Unlimited Answers To Exam Questions - Install Crowdly Extension Now!

Browser

Add to Chrome