logo

Crowdly

Browser

Add to Chrome

BCSE302L Database Systems (Theory) Fall 2025-26 (B1+TB1) [VL2025260101373]

Looking for BCSE302L Database Systems (Theory) Fall 2025-26 (B1+TB1) [VL2025260101373] test answers and solutions? Browse our comprehensive collection of verified answers for BCSE302L Database Systems (Theory) Fall 2025-26 (B1+TB1) [VL2025260101373] at moovit.vit.ac.in.

Get instant access to accurate answers and detailed explanations for your course questions. Our community-driven platform helps students succeed!

Consider the following tables:

Identify the correct operation(s) which will produce the following output from the above two relations.

View this question

Consider the following instances:

Which of the following relational operations will produce the following tuple only?

View this question

Consider the following schedule S involving five transactions T1,T2,T3,T4and T5:

Choose the correct option for the above transaction schedule.

0%
0%
0%
0%
View this question

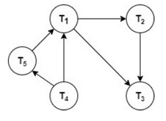
Consider the following precedence graph and identify the correct order of execution of the transactions. 

View this question

If the index entries are inserted in sorted order into a B+ tree, choose the correct option from the following statements. 

View this question

The activity of choosing an efficient execution strategy for processing a query is called as  

View this question

The optimizer that explores the space of all query-evaluation plans is called

0%
0%
0%
0%
View this question

Consider the following instances:

Which of the following relational operations will produce the following tuple only?

0%
0%
0%
0%
View this question

Query evaluation plans are also known as query ____ plans.

0%
0%
0%
0%
View this question

Consider the following tables:

Identify the correct operation(s) which will produce the following output from the above two relations.

0%
0%
0%
0%
View this question

Want instant access to all verified answers on moovit.vit.ac.in?

Get Unlimited Answers To Exam Questions - Install Crowdly Extension Now!

Browser

Add to Chrome