logo

Crowdly

Browser

Add to Chrome

BMAT205L Discrete Mathematics and Graph Theory (Theory) Fall 2025-26 (C2+TC2+TCC2) [VL2025260100908]

Looking for BMAT205L Discrete Mathematics and Graph Theory (Theory) Fall 2025-26 (C2+TC2+TCC2) [VL2025260100908] test answers and solutions? Browse our comprehensive collection of verified answers for BMAT205L Discrete Mathematics and Graph Theory (Theory) Fall 2025-26 (C2+TC2+TCC2) [VL2025260100908] at moovit.vit.ac.in.

Get instant access to accurate answers and detailed explanations for your course questions. Our community-driven platform helps students succeed!

Simplify: 

a'b+a'b'+ab=____________

100%
0%
0%
0%
View this question

Stones Representation

theorem states that ____________.

0%
0%
100%
0%
View this question

The number of elements

in any boolean algebra will be of the form ______________.

0%
0%
0%
View this question

In any Boolean

algebra, if a≤b then, a+bc = __________.

0%
0%
0%
0%
View this question

The solution of the difference equation un+2 - 2un+1 + un = 0 is _________________.

0%
0%
0%
0%
View this question

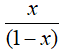
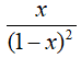
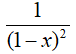
=  ______________________

0%
0%
0%
0%
View this question

How many different

committees of three students can be formed from a group of five students?

0%
0%
100%
0%
View this question

Say True or False:  

0%
100%
View this question

How many permutations

of the letters  ABCDEFGH contain the string ED and GH?

0%
100%
0%
0%
View this question

In how many ways a

team of 3 can be selected from dozen people?

0%
0%
0%
100%
View this question

Want instant access to all verified answers on moovit.vit.ac.in?

Get Unlimited Answers To Exam Questions - Install Crowdly Extension Now!

Browser

Add to Chrome