logo

Crowdly

Browser

Add to Chrome

MATH 1201-01 College Algebra - AY2026-T2

Looking for MATH 1201-01 College Algebra - AY2026-T2 test answers and solutions? Browse our comprehensive collection of verified answers for MATH 1201-01 College Algebra - AY2026-T2 at my.uopeople.edu.

Get instant access to accurate answers and detailed explanations for your course questions. Our community-driven platform helps students succeed!

0%
100%
0%
0%
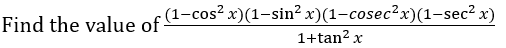
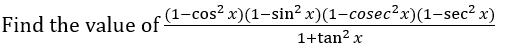
View this question

What is equal to 1560o?

0%
0%
0%
100%
View this question

0%
0%
0%
100%
View this question

The graph below can be a

polynomial of degree 2 or more.

100%
0%
View this question

0%
0%
100%
0%
View this question

What is the

phase shift from the graph y = 51 cos(24x-5) +11 ?

0%
100%
0%
0%
View this question

What is the period of 4cos(9x)?

0%
0%
0%
100%
View this question

0%
0%
0%
100%
View this question

View this question

View this question

Want instant access to all verified answers on my.uopeople.edu?

Get Unlimited Answers To Exam Questions - Install Crowdly Extension Now!

Browser

Add to Chrome