logo

Crowdly

Browser

Add to Chrome

2025/WI Discrete Structures I (CS-250-01 MTH-231-01)

Looking for 2025/WI Discrete Structures I (CS-250-01 MTH-231-01) test answers and solutions? Browse our comprehensive collection of verified answers for 2025/WI Discrete Structures I (CS-250-01 MTH-231-01) at online.clackamas.edu.

Get instant access to accurate answers and detailed explanations for your course questions. Our community-driven platform helps students succeed!

Which are examples of countable sets? Select all that apply.

View this question

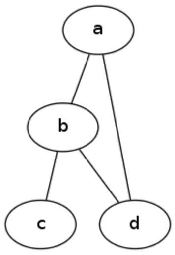
simple graph

Which of the following are valid breadth-first traversals of this graph? Select all that apply.

View this question

True or False: This is a valid binary search tree.

0%
0%
View this question

Is the following statement true or false?

cons(w, <x, y, z>) = <w, x, y, z>

100%
0%
View this question

What are required building blocks for all graphs? Select all that apply.

0%
0%
0%
0%
View this question

Is the following statement true or false?

The individual elements that make up a string are taken from a finite set called an alphabet, and a language is a set of strings.

0%
0%
View this question

How many possible 3-tuples are there over the set {a, b}?

0%
0%
0%
0%
View this question

Which of the following are characteristics of tuples? Select all that apply.

0%
0%
0%
0%
View this question

What is the primary difference between a tuple and a list in computer science?

0%
0%
0%
0%
View this question

Is the statement below true or false?

(t, o, o, t) = (o, t, t, o)

0%
0%
View this question

Want instant access to all verified answers on online.clackamas.edu?

Get Unlimited Answers To Exam Questions - Install Crowdly Extension Now!

Browser

Add to Chrome