logo

Crowdly

Browser

Add to Chrome

MECU3032-004-2025S1 - MÉTODOS CUANTITATIVOS PARA LA ADMINISTRACIÓN DE EMPRESAS II

Looking for MECU3032-004-2025S1 - MÉTODOS CUANTITATIVOS PARA LA ADMINISTRACIÓN DE EMPRESAS II test answers and solutions? Browse our comprehensive collection of verified answers for MECU3032-004-2025S1 - MÉTODOS CUANTITATIVOS PARA LA ADMINISTRACIÓN DE EMPRESAS II at online.uprrp.edu.

Get instant access to accurate answers and detailed explanations for your course questions. Our community-driven platform helps students succeed!

Si la gráfica de la función   es:

Entonces, la gráfica de la función es discontinua en  porque: 

100%
0%
0%
0%
0%
View this question

Sebastián desea invertir $48,000 durante 7 años.  Tiene las siguientes alternativas:

   Banco A: Le paga el 2.25% de interés continuo.

   Banco B: La paga el 2.35%  de interés compuesto capitalizable trimestralmente.

¿Qué alternativa le conviene más, considerando que es una inversión?

0%
0%
0%
0%
0%
View this question

La ecuación de la recta tangente a la curva de  en el punto donde  es:

0%
0%
0%
0%
0%
View this question

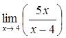
El  es igual a:

100%
0%
0%
0%
0%
View this question

El :

0%
0%
0%
0%
0%
View this question

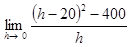
El  es igual a:

0%
0%
100%
0%
0%
View this question

Si la gráfica de la función  es:

Entonces  no es diferenciable en  porque:

0%
0%
0%
0%
0%
View this question

Si la gráfica de la función  es:

Entonces, el  :   

0%
0%
0%
0%
0%
View this question

Considere la función

El límite es:

0%
0%
0%
0%
100%
View this question

Si la función de costo total (en dólares) de una compañía que produce cantidad de maletines a la semana está dada por la función:

.

Entonces se puede interpretar como

0%
100%
0%
0%
0%
View this question

Want instant access to all verified answers on online.uprrp.edu?

Get Unlimited Answers To Exam Questions - Install Crowdly Extension Now!

Browser

Add to Chrome