logo

Crowdly

Browser

Add to Chrome

Дослідження операцій в транспортних системах

Looking for Дослідження операцій в транспортних системах test answers and solutions? Browse our comprehensive collection of verified answers for Дослідження операцій в транспортних системах at onmu-moodle.od.ua.

Get instant access to accurate answers and detailed explanations for your course questions. Our community-driven platform helps students succeed!

Моделлю в теорії

дослідженні операцій називається:

0%
0%
0%
0%
View this question

Доповніть визначення.

«Послідовність

робіт, у якій закінчення кожної, крім останньої, співпадає з початком

наступної, створює в мережевому графіку ...»

0%
0%
0%
0%
View this question

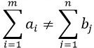
Яка транспортна задача характеризується наведеною нерівністю?

0%
0%
0%
0%
View this question

За наявністю прямих

перевезень для будь-якого співвідношення між ємкістю складів, обсягами виробництва

та споживання багатоетапна транспортна задача має вирішуватися в рамках єдиної

моделі. Чи є правильним це твердження?

0%
0%
View this question

Вкажіть оптимальне рішення задачі лінійного програмування,

яке отримане симплекс-методом:

0%
0%
0%
0%
View this question

Що розуміють під терміном «вартість» у

транспортній задачі?

0%
0%
0%
0%
View this question

Якщо у ключовому стовпці симплекс-таблиці не має

позитивних елементів, то це означає:

0%
0%
0%
View this question

При побудові першого опорного

плану методом північно-західного кута першою потрібно заповніти:

0%
0%
0%
0%
View this question

Доповніть визначення.

«Можливий

термін здійснення події - це ...»

0%
0%
0%
0%
View this question

У багатоетапній транспортній

задачі прямі перевезення:

0%
0%
0%
0%
View this question

Want instant access to all verified answers on onmu-moodle.od.ua?

Get Unlimited Answers To Exam Questions - Install Crowdly Extension Now!

Browser

Add to Chrome