logo

Crowdly

Browser

Add to Chrome

Вища та прикладна математика

Looking for Вища та прикладна математика test answers and solutions? Browse our comprehensive collection of verified answers for Вища та прикладна математика at op.tsatu.edu.ua.

Get instant access to accurate answers and detailed explanations for your course questions. Our community-driven platform helps students succeed!

др5

View this question

2.11

View this question
Чому дорівнюють координати вектора  , якщо відомі координати його початку і кінця ?
100%
0%
0%
0%
View this question

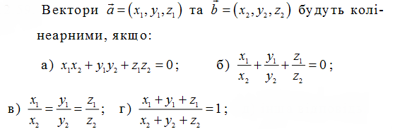
Якщо

View this question

0%
0%
0%
0%
View this question

002

0%
0%
0%
0%
View this question

Які

дві матриці є взаємно транспонованими?

0%
0%
0%
0%
View this question

6.24

0%
0%
0%
0%
View this question
0%
0%
0%
0%
View this question

017

View this question

Want instant access to all verified answers on op.tsatu.edu.ua?

Get Unlimited Answers To Exam Questions - Install Crowdly Extension Now!

Browser

Add to Chrome