logo

Crowdly

Browser

Add to Chrome

Вища та прикладна математика

Looking for Вища та прикладна математика test answers and solutions? Browse our comprehensive collection of verified answers for Вища та прикладна математика at op.tsatu.edu.ua.

Get instant access to accurate answers and detailed explanations for your course questions. Our community-driven platform helps students succeed!

Інтервальний

ряд це:

0%
0%
0%
0%
View this question

Розмах

вибірки:

0%
0%
0%
0%
View this question

Ранжируваний

ряд для 1 2 3 3 2 5 6 6 7 1 7 8 9 2 3:

0%
0%
0%
0%
View this question

Розмах

вибірки   1  2  3  3  2  5  6  6  7  7  8  9 

View this question

Обсяг вибірки 1 2 3 3 2 5 6 6 7 1

0%
0%
0%
View this question

Інтервальний

ряд 

вибірки 1 2 3 3 2 5 6 6 7 1 7 8 9 2 3:

0%
0%
0%
0%
View this question

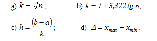
Кількості інтервалів для вибірки  1 2 3 3 2 5 6 6 7 1:

View this question

Дискретний ряд вибірки 1 2 3 3 2 5 6 6 7 1 7 8 9 2 3:

0%
0%
0%
View this question
Відстань, яку пройде матеріальна точка за час t сек, . Знайти швидкість руху цієї точки у момент часу 1 сек:
0%
0%
0%
View this question
Знайти область визначення функції двох змінних :
0%
0%
0%
0%
View this question

Want instant access to all verified answers on op.tsatu.edu.ua?

Get Unlimited Answers To Exam Questions - Install Crowdly Extension Now!

Browser

Add to Chrome