logo

Crowdly

Browser

Add to Chrome

Програмування (1 семестр)

Looking for Програмування (1 семестр) test answers and solutions? Browse our comprehensive collection of verified answers for Програмування (1 семестр) at osvita.gnomio.com.

Get instant access to accurate answers and detailed explanations for your course questions. Our community-driven platform helps students succeed!

Яким буде результат роботи послідовності інструкцій:

kont = "15"

port = 3*kont

print (port)

View this question

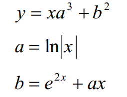
Встановіть послідовність інструкцій в програмі, яка має обчислити значення функцій :

Рекомендація: програма має розпочатися з підключення зовнішніх модулів!

View this question

Які з ідентифікаторів змінних записані з помилкою?

View this question

Want instant access to all verified answers on osvita.gnomio.com?

Get Unlimited Answers To Exam Questions - Install Crowdly Extension Now!

Browser

Add to Chrome