Looking for Математика test answers and solutions? Browse our comprehensive collection of verified answers for Математика at pfktb.gnomio.com.
Get instant access to accurate answers and detailed explanations for your course questions. Our community-driven platform helps students succeed!
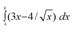
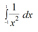
Обчисліть:
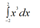
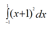
Обчисліть:
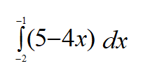
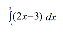
Обчисліть:
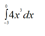
Обчисліть:
Обчисліть:
Обчисліть:
Встановити відповідність між інтегралами та їх значеннями.
Обчисліть:
Обчисліть:
Обчисліть: