logo

Crowdly

Browser

Add to Chrome

Дослідження операцій і методи оптимізації (075) доц. Прокопович С.В., доц. Чаговець Л.О., доц. Гвоздицький В.С., викл. Полянський В.О.

Looking for Дослідження операцій і методи оптимізації (075) доц. Прокопович С.В., доц. Чаговець Л.О., доц. Гвоздицький В.С., викл. Полянський В.О. test answers and solutions? Browse our comprehensive collection of verified answers for Дослідження операцій і методи оптимізації (075) доц. Прокопович С.В., доц. Чаговець Л.О., доц. Гвоздицький В.С., викл. Полянський В.О. at pns.hneu.edu.ua.

Get instant access to accurate answers and detailed explanations for your course questions. Our community-driven platform helps students succeed!

Якщо виконується умова в транспортній задачі, що сумарні запаси вантажу дорівнюють сумарним потребам, то модель транспортної задачі називають:

0%
0%
0%
0%
0%
0%
0%
View this question

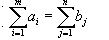
З якої клітинки необхідно починати побудову первісного плану транспортної задачі методом подвійної переваги, якщо умова має вигляд

 

B1

B2

B3

B4

bj

A1

2

3

4

5

20

A2

4

1

5

3

30

A3

5

3

4

5

40

A4

2

6

2

2

50

ai

30

25

40

35

 

50%
0%
0%
0%
View this question

Під час вирішення транспортної задачі методом потенціалів ланки складеного циклу (крім вершин) перетинатися:

0%
0%
0%
View this question

За допомогою методу потенціалів можна вирішити

0%
100%
0%
0%
View this question

Невироджений план є НЕ єдиним при матричній постановці транспортної задачі, якщо існує оцінка

50%
0%
0%
View this question

Яка умова є необхідною і достатньою для розв'язання транспортної задачі?

0%
0%
100%
0%
View this question

В якому випадку в ТЗ виникає необхідність блокування (заборони) перевезень?

50%
50%
0%
0%
0%
View this question

Яким чином забороняють перевезення (блокують клітину) в ТЗ?

0%
50%
0%
0%
0%
View this question

Чому дорівнює об'єм потреби у фіктивного споживача в транспортній задачі:

0%
0%
0%
0%
View this question

Чому дорівнює об'єм виробництва у фіктивного виробника в транспортній задачі

 

B1

B2

B3

B4

bj

A1

2

3

4

5

20

A2

4

1

5

3

30

A3

5

3

4

5

40

A4

2

6

2

2

50

ai

30

45

40

35

 

0%
100%
0%
0%
View this question

Want instant access to all verified answers on pns.hneu.edu.ua?

Get Unlimited Answers To Exam Questions - Install Crowdly Extension Now!

Browser

Add to Chrome