logo

Crowdly

Browser

Add to Chrome

BAED-BUSC2112 Basic Calculus

Looking for BAED-BUSC2112 Basic Calculus test answers and solutions? Browse our comprehensive collection of verified answers for BAED-BUSC2112 Basic Calculus at shsexam.amaes.com.

Get instant access to accurate answers and detailed explanations for your course questions. Our community-driven platform helps students succeed!

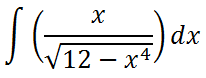
Evaluate:

View this question

A culture in the laboratory started with 500 bacteria. Three hours later, the number of bacteria grew exponentially to 8,000. After how many hours will its population become 30,000?

View this question

0%
0%
0%
100%
View this question

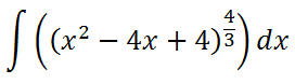
What is the definite integral of:

View this question

Evaluate the radical function below from x = 2 up to x = 3.

View this question

Evaluate the radical function below from x = 1 up to x = 5.

View this question

Evaluate the trigonometric function below from x = 1 up to x = 5.

The associated angles are in radians.

View this question

Evaluate the function below from x = 1 up to x = 3.

All associated angles are in radians.

View this question

The demand equation for a particular kind of shirt is

where x hundreds of shirts are demanded per week when p pesos is the price of a shirt. If the shirt is selling this week at 150 pesos and the price is increasing at the rate of 10 pesos per week, find the rate of change in the demand.

View this question

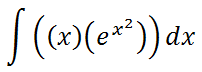
Evaluate the exponential function below from x = 2 up to x = 3.

View this question

Want instant access to all verified answers on shsexam.amaes.com?

Get Unlimited Answers To Exam Questions - Install Crowdly Extension Now!

Browser

Add to Chrome