logo

Crowdly

Browser

Add to Chrome

BAED-BUSC2112 Basic Calculus

Looking for BAED-BUSC2112 Basic Calculus test answers and solutions? Browse our comprehensive collection of verified answers for BAED-BUSC2112 Basic Calculus at shsexam.amaes.com.

Get instant access to accurate answers and detailed explanations for your course questions. Our community-driven platform helps students succeed!

Evaluate the function below from x = 1 up to x = 4.

View this question

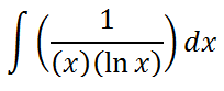
Evaluate:

View this question

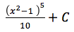
Evaluate:

View this question

Evaluate the function below from x = 1 up to x = 4.

View this question

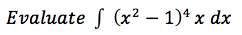
Evaluate the polynomial function below from x = 2 up to x = 3.

View this question

Evaluate the function below from x = 1 up to x = 4.

View this question

Find the area underneath the curve. Express your answer into 2 decimal places. 

View this question

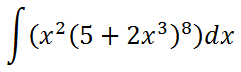
Evaluate the polynomial function below from x = 2 up to x = 3.

View this question

Evaluate the exponential function below from x = 1 up to x = 5.

View this question

0%
0%
0%
0%
View this question

Want instant access to all verified answers on shsexam.amaes.com?

Get Unlimited Answers To Exam Questions - Install Crowdly Extension Now!

Browser

Add to Chrome