Looking for Sistemas dinámicos [DEAC-IMAT-316] test answers and solutions? Browse our comprehensive collection of verified answers for Sistemas dinámicos [DEAC-IMAT-316] at sifo.comillas.edu.
Get instant access to accurate answers and detailed explanations for your course questions. Our community-driven platform helps students succeed!
La figura muestra la respuesta a un escalón de F1 = Vo(s) / Vi(s) para diferentes valores de R. cuál es el de menor R?
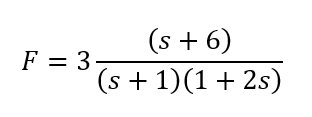
Dada F(s) elegir cuál será el resultado de dcgain(F)
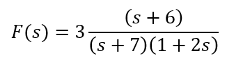
Dada F(s), decir cuál es el resultado de zpkdata(F)