logo

Crowdly

Browser

Add to Chrome

PRLN201: PROGRAMMING LANGUAGES II: [SEM1]: 2025

Looking for PRLN201: PROGRAMMING LANGUAGES II: [SEM1]: 2025 test answers and solutions? Browse our comprehensive collection of verified answers for PRLN201: PROGRAMMING LANGUAGES II: [SEM1]: 2025 at tlzprod.dut.ac.za.

Get instant access to accurate answers and detailed explanations for your course questions. Our community-driven platform helps students succeed!

Complete the missing statement in the program below to output the shape. Do not leave spaces in your answer.

$

$$$

$

for(int line=0;line<=4; line++)

   

        Console.WriteLine("$");

View this question

The following code must allow the user to input a value that is positive. Negative value must be rejected and the user must be forced to re-input. Complete the missing while condition.

View this question

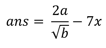
Write  a C# statement for the equation below:

View this question

Which of the given option can be used to complete the sentence : The control variable is _______

100%
0%
100%
0%
View this question

Which of the following are valid variable names? (Marks are deducted for incorrect answers in this question)

0%
0%
0%
0%
View this question

Which of the following has the highest precedence in an arithmetic operation?

0%
0%
0%
0%
View this question

How many # will the following C# code output?

0%
0%
0%
0%
View this question

How many # will the following C# code output?

0%
0%
0%
0%
View this question

What will be the output of the following C# code?(try it in a program to make sure)

int i = 10;

while (i >= 5)

      Console.Write("\t"+i--);

0%
0%
0%
100%
View this question

Examine

the loop below. How many times would the output statement execute.

            int x = 0;

            while (x < 10)

                     Console.WriteLine(x);

0%
100%
0%
0%
View this question

Want instant access to all verified answers on tlzprod.dut.ac.za?

Get Unlimited Answers To Exam Questions - Install Crowdly Extension Now!

Browser

Add to Chrome