Looking for ESTATÍSTICA II test answers and solutions? Browse our comprehensive collection of verified answers for ESTATÍSTICA II at tutoria.ualg.pt.
Get instant access to accurate answers and detailed explanations for your course questions. Our community-driven platform helps students succeed!
Quando o teste de Levene para homogeneidade das variâncias apresenta um resultado significativo (p < 0,05), que se deve fazer para que seja válida a ANOVA que se está a realizar?
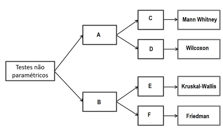
Faça corresponder a cada uma das letras A – F as expressões adequadas:
Um investigador avaliou a motivação académica de 20 estudantes em três momentos ao longo do ano letivo: final do 1.º trimestre (Trim1), do 2.º (Trim2) e do 3.º (Trim3).
Com base nos resultados e considerando o nível de significância α = 5%, selecione a opção correta:
Identifique o tipo de teste adequado para cada enunciado:
Test Statisticsa | |
| factor geral de inteligência |
Mann-Whitney U | 45,500 |
Wilcoxon W | 100,500 |
Z | -,346 |
Asymp. Sig. (2-tailed) | ,730 |
Exact Sig. [2*(1-tailed Sig.)] | ,739b |
a. Grouping Variable: Género | |
b. Not corrected for ties. |
Um investigador mediu os níveis de stress de 25 participantes antes (Pré) e depois (Pós) de uma intervenção de relaxamento.
Com um nível de significância de 5%, selecione a opção correta:
Um psicólogo social está a investigar se a localização geográfica (concelho de residência) influencia o nível de inteligência verbal em residentes adultos no Algarve. Selecionaram-se aleatoriamente residentes de três concelhos distintos (São Brás de Alportel, Alcoutim e Lagos) que foram avaliados quanto à sua inteligência verbal. Os resultados foram os seguintes:
Com base nos resultados obtidos podemos concluir, usando o nível de significância de 5%, que:
Qual das seguintes afirmações sobre o teste de Kruskal-Wallis é correta?
Um investigador pretende avaliar se há variações na satisfação com um curso de formação pedagógica ao longo de três fases do programa:• Após o primeiro módulo teórico (Fase 1),• Após o módulo prático (Fase 2),• Após a conclusão do estágio final (Fase 3).
Vinte formandos avaliaram a sua satisfação em cada fase, ao longo da formação. Qual o teste estatístico mais adequado para avaliar se a satisfação variou significativamente ao longo das três fases?
Um investigador avaliou a pressão arterial sistólica de 30 participantes em três momentos distintos: T1 (início), T2 (após uma semana) e T3 (após um mês).
Utilizando um nível de significância de 5%, selecione a opção correta: