logo

Crowdly

Browser

Add to Chrome

EFB1063/EEB2023:Network Analysis - May 2025

Looking for EFB1063/EEB2023:Network Analysis - May 2025 test answers and solutions? Browse our comprehensive collection of verified answers for EFB1063/EEB2023:Network Analysis - May 2025 at ulearn.utp.edu.my.

Get instant access to accurate answers and detailed explanations for your course questions. Our community-driven platform helps students succeed!

Determine f(t) of the function:
100%
0%
0%
0%
View this question

Every function f(t) has a Laplace transform.

0%
100%
View this question

The zero of the function:

is at:

100%
0%
0%
0%
View this question

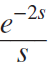
Given that:

then, f(t) is:

0%
0%
0%
100%
View this question

The Laplace transform of u(t + 2) is:

0%
0%
0%
0%
View this question

Want instant access to all verified answers on ulearn.utp.edu.my?

Get Unlimited Answers To Exam Questions - Install Crowdly Extension Now!

Browser

Add to Chrome