logo

Crowdly

Browser

Add to Chrome

Комп'ютерна логіка

Looking for Комп'ютерна логіка test answers and solutions? Browse our comprehensive collection of verified answers for Комп'ютерна логіка at virt.ldubgd.edu.ua.

Get instant access to accurate answers and detailed explanations for your course questions. Our community-driven platform helps students succeed!

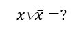
Чому дорівнює

View this question
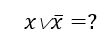
Чому дорівнює

View this question
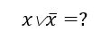
Чому дорівнює

View this question

Чому дорівнює

View this question
Чому дорівнює

View this question

Чому дорівнює

View this question

Переведіть число 6FA з шістнадцяткової системи числення у двійкову

View this question

Характерною особливістю від'ємного числа є те, що крайній лівий біт у його двійковому представленні дорівнює

View this question

Запишіть основу двійкової системи числення (число).

View this question

У двійковій системі числення арифметична операція 1+0 дорівнює

0%
0%
0%
100%
View this question

Want instant access to all verified answers on virt.ldubgd.edu.ua?

Get Unlimited Answers To Exam Questions - Install Crowdly Extension Now!

Browser

Add to Chrome