logo

Crowdly

Browser

Add to Chrome

ЦИВІЛЬНИЙ ЗАХИСТ

Looking for ЦИВІЛЬНИЙ ЗАХИСТ test answers and solutions? Browse our comprehensive collection of verified answers for ЦИВІЛЬНИЙ ЗАХИСТ at virt.ldubgd.edu.ua.

Get instant access to accurate answers and detailed explanations for your course questions. Our community-driven platform helps students succeed!

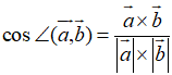
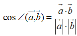
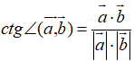
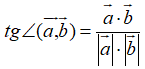
Вказати формулу обчислення кута між площинами зі своїми відповідними нормальними векторами

0%
0%
0%
100%
View this question

Назвати елемент а₂₂  для матриці 

0%
0%
100%
0%
View this question

Рівняння де функція f(x) – функція лише від змінної х,  а g(y) – функція лише від змінної у називається?

0%
0%
0%
0%
View this question

Чому дорівнює велика піввісь еліпса

100%
0%
0%
0%
View this question

Обчислити  інтеграл 

0%
0%
100%
0%
View this question

Який вигляд має загальний розв’язок диференціального рівняння  якщо дискримінант його характеристичного рівняння дорівнює нулю?

0%
100%
0%
0%
View this question

Скласти характеристичне рівняння для диференціального рівняння 

0%
0%
0%
0%
View this question

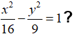
Чому дорівнює уявна піввісь гіперболи 

0%
0%
0%
0%
View this question

Який вигляд має загальний розв’язок диференціального рівняння  якщо дискримінант його характеристичного рівняння додатній?

0%
0%
0%
0%
View this question

Записати характеристичне рівняння для диференціального рівняння другого порядку: 

0%
0%
0%
0%
View this question

Want instant access to all verified answers on virt.ldubgd.edu.ua?

Get Unlimited Answers To Exam Questions - Install Crowdly Extension Now!

Browser

Add to Chrome