logo

Crowdly

Browser

Add to Chrome

Ідентифікація об'єктів автоматизації [04541]

Looking for Ідентифікація об'єктів автоматизації [04541] test answers and solutions? Browse our comprehensive collection of verified answers for Ідентифікація об'єктів автоматизації [04541] at vns.lpnu.ua.

Get instant access to accurate answers and detailed explanations for your course questions. Our community-driven platform helps students succeed!

Для перевірки доцільності застосування моделі за критерієм Фішера необхідно, щоби між його табличним значенням  і розрахованим  виконувалась умова:

0%
0%
0%
0%
0%
View this question

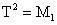
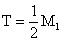
Який зв’язок між функцією передачі і параметром Т моделі ідеального перемішування та початковим моментом  1-ого порядку відносно імпульсної перехідної функції?

View this question

За наведеною нормованою імпульсною перехідною функцією об’єкта оцінити параметр комірчастої моделі Т

0%
0%
0%
0%
View this question

Перехідна функція якої гідродинамічної моделі зображена на рисунку?

0%
0%
0%
0%
View this question

Якій моделі відповідає фазочастотна характеристика об’єкта, що зображена на рисунку?

View this question

Якій моделі відповідає фазочастотна характеристика об’єкта, що зображена на рисунку?

View this question

Перехідна функція якої гідродинамічної моделі зображена на рисунку?

0%
0%
0%
View this question

Якій моделі відповідає фазочастотна характеристика об’єкта, що зображена на рисунку?

0%
0%
0%
View this question

Яким рівнянням описується зв’язок між кореляційними функціями випадкових процесів і  на вході і виході технологічного об’єкта з його амплітудно-частотною характеристикою

Image failed to load
?

0%
0%
0%
0%
0%
View this question

Яким рівнянням описується зв’язок між взаємоспектральною густиною  та взаємокореляційною функцією двох випадкових процесів і ?

0%
0%
100%
0%
0%
View this question

Want instant access to all verified answers on vns.lpnu.ua?

Get Unlimited Answers To Exam Questions - Install Crowdly Extension Now!

Browser

Add to Chrome