logo

Crowdly

Browser

Add to Chrome

Ідентифікація об'єктів автоматизації [04541]

Looking for Ідентифікація об'єктів автоматизації [04541] test answers and solutions? Browse our comprehensive collection of verified answers for Ідентифікація об'єктів автоматизації [04541] at vns.lpnu.ua.

Get instant access to accurate answers and detailed explanations for your course questions. Our community-driven platform helps students succeed!

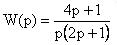
Якій моделі відповідає імпульсна перехідна функція об’єкта, що зображена на рисунку?

Image failed to load

View this question

Крива розгону якої гідродинамічної моделі зображена на рисунку?

View this question

Якій моделі відповідає фазочастотна характеристика об’єкта, що зображена на рисунку?

0%
0%
View this question

Перехідна функція якої гідродинамічної моделі зображена на рисунку?

View this question

Перехідна функція якої гідродинамічної моделі зображена на рисунку?

View this question

Якій моделі відповідає фазочастотна характеристика об’єкта, що зображена на рисунку?

View this question

Яким рівнянням описується зв’язок між кореляційними функціями випадкових процесів і  на вході і виході технологічного об’єкта з його амплітудно-частотною характеристикою

Image failed to load
?

View this question

Яким рівнянням описується зв’язок між взаємоспектральною густиною  та взаємокореляційною функцією двох випадкових процесів і ?

View this question

Яким рівнянням описується зв’язок між взаємокореляційною функцією випадкових процесів  і  на вході і виході технологічного об’єкта з його імпульсною перехідною функцією ?

View this question

Значення автокореляційної функції випадкового процесу  в момент часу це:

View this question

Want instant access to all verified answers on vns.lpnu.ua?

Get Unlimited Answers To Exam Questions - Install Crowdly Extension Now!

Browser

Add to Chrome