logo

Crowdly

Browser

Add to Chrome

Ідентифікація об'єктів автоматизації [04541]

Looking for Ідентифікація об'єктів автоматизації [04541] test answers and solutions? Browse our comprehensive collection of verified answers for Ідентифікація об'єктів автоматизації [04541] at vns.lpnu.ua.

Get instant access to accurate answers and detailed explanations for your course questions. Our community-driven platform helps students succeed!

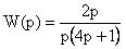
Як в середовищі Matlab записати модель у вигляді передавальної функції  ?

View this question

Як в середовищі Matlab записати модель у вигляді передавальної функції  ?

View this question

Передавальна функція  об’єкта, яка в середовищі Matlab записується у вигляді є  (виберіть правильну відповідь)

View this question

Яке значення передавального коефіцієнта об’єкта у записі в середовищі Matlab?

View this question

Яким рівнянням описується зв’язок між передавальною функцією об’єкта з його імпульсною перехідною функцією ?

View this question

Яким рівнянням описується зв’язок між кореляційними функціями випадкових процесів і  на вході і виході технологічного об’єкта з його амплітудно-частотною характеристикою

Image failed to load
?

0%
100%
0%
0%
0%
View this question

Яким рівнянням описується зв’язок між взаємоспектральною густиною  та взаємокореляційною функцією двох випадкових процесів і ?

View this question

Яким рівнянням описується зв’язок між взаємокореляційною функцією випадкових процесів  і  на вході і виході технологічного об’єкта з його імпульсною перехідною функцією ?

View this question

Значення автокореляційної функції випадкового процесу  в момент часу це:

View this question

Яким рівнянням описується взаємокореляційна функція двох випадкових процесів на вході  і виході  технологічного об’єкта?

View this question

Want instant access to all verified answers on vns.lpnu.ua?

Get Unlimited Answers To Exam Questions - Install Crowdly Extension Now!

Browser

Add to Chrome