logo

Crowdly

Browser

Add to Chrome

Ідентифікація об'єктів автоматизації [04541]

Looking for Ідентифікація об'єктів автоматизації [04541] test answers and solutions? Browse our comprehensive collection of verified answers for Ідентифікація об'єктів автоматизації [04541] at vns.lpnu.ua.

Get instant access to accurate answers and detailed explanations for your course questions. Our community-driven platform helps students succeed!

Значення автокореляційної функції випадкового процесу  в момент часу  є: 

View this question

Якою буде частота сигналу на виході лінійного елемента, якщо на його вхід подати синусоїдальний сигнал з круговою частотою?

View this question

Логарифмічна амплітудно-частотна характеристика якої ланки показана на рисунку?

View this question

Як називається характеристика об’єкта, що встановлює взаємозв’язок його вихідного сигналу з вхідним синусоїдальним сигналом в усталеному режимі і визначається за формулою

View this question

Як в середовищі Matlab записати модель у вигляді передавальної функції  ?

View this question

Яке значення сталої часу об’єкта у записі в середовищі Matlab?

View this question

Яке значення передавального коефіцієнта об’єкта у записі в середовищі Matlab?

View this question

Який зв’язок існує між функцією передачі  та перехідною функцією  лінійного елемента? (L – позначення прямого перетворення Лапласа, L-1 - зворотного)?

View this question

Як в середовищі Matlab записати модель у вигляді передавальної функції  ?

View this question

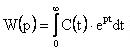
Передавальна функція об’єкта W(p), яка в середовищі Matlab записується у вигляді , є … (виберіть правильну відповідь)

View this question

Want instant access to all verified answers on vns.lpnu.ua?

Get Unlimited Answers To Exam Questions - Install Crowdly Extension Now!

Browser

Add to Chrome