logo

Crowdly

Browser

Add to Chrome

Ідентифікація об'єктів автоматизації [04541]

Looking for Ідентифікація об'єктів автоматизації [04541] test answers and solutions? Browse our comprehensive collection of verified answers for Ідентифікація об'єктів автоматизації [04541] at vns.lpnu.ua.

Get instant access to accurate answers and detailed explanations for your course questions. Our community-driven platform helps students succeed!

Яким рівнянням описується взаємокореляційна функція двох випадкових процесів на вході  і виході  технологічного об’єкта?

0%
0%
0%
0%
100%
View this question

Значення автокореляційної функції випадкового процесу  в момент часу це:

100%
0%
0%
0%
0%
View this question

Значення автокореляційної функції випадкового процесу  в момент часу  є: 

0%
0%
100%
0%
View this question

Якою буде частота сигналу на виході лінійного елемента, якщо на його вхід подати синусоїдальний сигнал з круговою частотою?

View this question

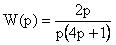
Як називається характеристика об’єкта, що встановлює взаємозв’язок його вихідного сигналу з вхідним синусоїдальним сигналом в усталеному режимі і визначається за формулою

View this question

Логарифмічна амплітудно-частотна характеристика якої ланки показана на рисунку?

View this question

Яким рівнянням описується зв’язок між передавальною функцією об’єкта з його імпульсною перехідною функцією ?

0%
0%
0%
View this question

Інерційністю якого порядку є площа, обмежена горизонтальною асимптотою та кривою?

0%
0%
0%
View this question

Якому регулятору відповідає структурна схема, показана на рисунку?

View this question

Для перевірки адекватності моделі за критерієм Фішера необхідно, щоби між його табличним значенням  і розрахованим  виконувалась умова:

View this question

Want instant access to all verified answers on vns.lpnu.ua?

Get Unlimited Answers To Exam Questions - Install Crowdly Extension Now!

Browser

Add to Chrome