logo

Crowdly

Browser

Add to Chrome

Ідентифікація об'єктів автоматизації [04541]

Looking for Ідентифікація об'єктів автоматизації [04541] test answers and solutions? Browse our comprehensive collection of verified answers for Ідентифікація об'єктів автоматизації [04541] at vns.lpnu.ua.

Get instant access to accurate answers and detailed explanations for your course questions. Our community-driven platform helps students succeed!

Значення автокореляційної функції випадкового процесу  в момент часу  є: 

0%
0%
0%
0%
View this question

Логарифмічна амплітудно-частотна характеристика якої ланки показана на рисунку?

0%
0%
0%
0%
0%
View this question

Логарифмічна амплітудно-частотна характеристика якої ланки показана на рисунку?

0%
0%
0%
0%
0%
View this question

Як називається характеристика об’єкта, що встановлює взаємозв’язок його вихідного сигналу з вхідним синусоїдальним сигналом в усталеному режимі і визначається за формулою

0%
0%
0%
0%
View this question

Логарифмічна амплітудно-частотна характеристика якої ланки показана на рисунку?

0%
0%
0%
0%
0%
View this question

Як в середовищі Matlab записати модель у вигляді передавальної функції  ?

0%
0%
0%
0%
0%
View this question

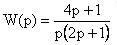
Передавальна функція об’єкта W(p), яка в середовищі Matlab записується у вигляді , є … (виберіть правильну відповідь)

0%
0%
0%
0%
View this question

Яке значення передавального коефіцієнта об’єкта у записі в середовищі Matlab?

0%
0%
0%
0%
View this question

Яке значення часу запізнення у записі  в середовищі Matlab?

View this question

Передавальна функція об’єкта , яка в середовищі Matlab записується у вигляді , складається (виберіть правильну відповідь):

0%
0%
0%
View this question

Want instant access to all verified answers on vns.lpnu.ua?

Get Unlimited Answers To Exam Questions - Install Crowdly Extension Now!

Browser

Add to Chrome