logo

Crowdly

Browser

Add to Chrome

Тестування програмного забезпечення

Looking for Тестування програмного забезпечення test answers and solutions? Browse our comprehensive collection of verified answers for Тестування програмного забезпечення at vns.lpnu.ua.

Get instant access to accurate answers and detailed explanations for your course questions. Our community-driven platform helps students succeed!

Тестуючи певний продукт

слід виконати 9

тест-кейс

ів. Тестування виконують дві команди тестувальників.

Кожен із

тест-кейс

ів може виконати будь-яка із команд, проте унаслідок

особливостей складу та спеціалізації вони затрачають на це різний час. Необхідні

для виконання текст-кейсів проміжки часу (у годинах) вказано у таблиці.

  ТК1  ТК2  ТК3  ТК4  ТК5  ТК6  ТК7  ТК8  ТК9 
Team_1226693534
Team_2367484746

Складіть план тестування таким чином, щоб тестування було

завершено у найбільш стислі терміни. У поле відповіді введіть у порядку

зростання без розділових знаків номери

тест-кейсів, які має виконати команда Team_1.

View this question

Деякий модуль програми здійснює побудову трикутника із

заданими довжинами сторін. Однією із компонент цього модуля є процедура, що

тестує коректність введених даних, логічну схему процедури зображено на

рисунку. Який відсоток

покриття усіх завдань (tasks coverage

; включно із вводом

даних, повідомленнями про помилку та переходом до наступної компоненти

) забезпечує виконання тест-кейсів із наступними наборами вхідних даних:

{0, 1, 2} {1, 2, 3} {2, 3, 4}

перевірка чи 3 числа можуть бути сторонами трикутника

View this question

Тестується

процедура зняття готівки сумою у 200 грн в банкоматі.

BPMN

-модель процедури показана на рисунку. Які з наступних

тестів (мінімальне можливе

покриття) слід виконати, щоб досягнути мети:

"виконати усі можливі завдання

(tasks)"

зняття 200 грн схема бізнес-логіки

0%
0%
0%
0%
View this question

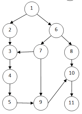
Яка цикломатична складність коду, граф якого зображено

на рисунку

0%
0%
0%
0%
0%
View this question

Чи можливо одним тестом перевірити код, схема якого зображена на рисунку

0%
0%
0%
View this question

Тестується

процедура зняття готівки сумою у 200 грн в банкоматі.

BPMN

-модель процедури показана на рисунку. Які з наступних

тестів (мінімальне можливе

покриття) слід виконати, щоб досягнути мети:

"виконати усі можливі завдання

(tasks)"

зняття 200 грн схема бізнес-логіки

View this question

Деякий модуль програми здійснює побудову трикутника із

заданими довжинами сторін. Однією із компонент цього модуля є процедура, що

тестує коректність введених даних, логічну схему процедури зображено на

рисунку. Який відсоток

покриття усіх завдань (tasks coverage

; включно із вводом

даних, повідомленнями про помилку та переходом до наступної компоненти

) забезпечує виконання тест-кейсів із наступними наборами вхідних даних:

{3, 3, 3} {3, 4, 5} {0, 1, 2}

перевірка чи 3 числа можуть бути сторонами трикутника

View this question

Яка цикломатична складність коду, граф якого зображено

на рисунку

View this question

Чи можливо одним тестом перевірити код, схему якого зображено

на рисунку

View this question

Тестуючи певний продукт

слід виконати 9

тест-кейс

ів. Тестування виконують дві команди тестувальників.

Кожен із

тест-кейс

ів може виконати будь-яка із команд, проте унаслідок

особливостей складу та спеціалізації вони затрачають на це різний час. Необхідні

для виконання текст-кейсів проміжки часу (у годинах) вказано у таблиці.

  ТК1  ТК2  ТК3  ТК4  ТК5  ТК6  ТК7  ТК8  ТК9 
Team_1544558959
Team_2456669436

Складіть план тестування таким чином, щоб тестування було

завершено у найбільш стислі терміни. У поле відповіді введіть у порядку

зростання без розділових знаків номери

тест-кейсів, які має виконати команда Team_2.

View this question

Want instant access to all verified answers on vns.lpnu.ua?

Get Unlimited Answers To Exam Questions - Install Crowdly Extension Now!

Browser

Add to Chrome