logo

Crowdly

Browser

Add to Chrome

Алгоритмізація та програмування

Looking for Алгоритмізація та програмування test answers and solutions? Browse our comprehensive collection of verified answers for Алгоритмізація та програмування at vns.lpnu.ua.

Get instant access to accurate answers and detailed explanations for your course questions. Our community-driven platform helps students succeed!

Яке значення буде мати елемент GREEN у переліку 

View this question

Створено структуру 

Оберіть коректне створення змінної цього типу

0%
0%
0%
0%
0%
View this question

Створено структуру 

поставте у відповідність наступні дані

View this question

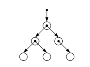
Якщо кожний вузол дерева має не більше двох дочірніх вузлів, то таке дерево називається збалансованим

0%
100%
View this question

Поставити у відповідність елементи дерева та їх опис

View this question

Поставте у відповідність тип даних та структуру для його програмного опрацювання

View this question

Яку мінімальну кількість полів має мати структура, що може бути використана для програмного опрацювання двонапрямленого списку (ДЕК)? 

відповідь вкажіть числом

View this question

Оберіть схематичне зображення двонапрямленого списку?

0%
0%
0%
0%
View this question

Поставити у відповідність структуру даних та її опис

View this question

Який з типів списків може бути описаний наступною структурою?

View this question

Want instant access to all verified answers on vns.lpnu.ua?

Get Unlimited Answers To Exam Questions - Install Crowdly Extension Now!

Browser

Add to Chrome