logo

Crowdly

Browser

Add to Chrome

Фотограмметрія та дистанційне зондування

Looking for Фотограмметрія та дистанційне зондування test answers and solutions? Browse our comprehensive collection of verified answers for Фотограмметрія та дистанційне зондування at vns.lpnu.ua.

Get instant access to accurate answers and detailed explanations for your course questions. Our community-driven platform helps students succeed!

Розрізнення на місцевості,

отримане знімальною системою Landsat8 у панхроматичному каналі, становить

View this question

Які канали використовують для створення зображення «природні кольори»? 

View this question

В програмі MathCad щоб задати значення змінної, необхідно її ввести і додати знак

View this question

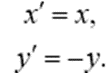
Під

час афінного перетворення

View this question

За допомогою якого

перетворення можна отримати р

озтягування/стискання (масштабування) зображення вздовж координатних осей?

0%
0%
0%
0%
0%
View this question

Аерознімок вважається горизонтальним, якщо його кути нахилу

View this question

Трансформування аерознімка – це процес

View this question
Центр проектування в центральній проекції ототожнюється з:
View this question

За якою формулою обчислюють зміщення точок горизонтального аерофотознімку викликані рельєфом місцевості?

View this question

Зміщення точок на горизонтальному знімку, спричинене кутом нахилу дорівнює 0.

100%
0%
View this question

Want instant access to all verified answers on vns.lpnu.ua?

Get Unlimited Answers To Exam Questions - Install Crowdly Extension Now!

Browser

Add to Chrome