logo

Crowdly

Browser

Add to Chrome

Технологія виготовлення деталей машин, частина 1

Looking for Технологія виготовлення деталей машин, частина 1 test answers and solutions? Browse our comprehensive collection of verified answers for Технологія виготовлення деталей машин, частина 1 at vns.lpnu.ua.

Get instant access to accurate answers and detailed explanations for your course questions. Our community-driven platform helps students succeed!

Тема 5, рівень 1, бали - 1.

У технології машинобудування найбільш розповсюдженим законом розподілу випадкових величин є:

View this question

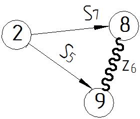
Тема 7, рівень 3, бали - 6.

Граничне значення припуску z6 рівне (S7 = 102+0.15-0,05 мм; S5 = 108+0,15 мм):

View this question

Тема 6, рівень 3, бали - 6.

Визначте похибку базування при обробленні ступені втулки у розмір L

0%
0%
0%
0%
View this question

Тема 9, рівень 2, бали - 4.

Максимальна продуктивність оброблення при точінні буде за умови використання

View this question

Тема 4, рівень 1, бали - 1.

Комплекс робіт із зниження працеємності та собівартості виготовлення в загальному випадку включає:

0%
33%
0%
View this question

Тема 8, рівень 2, бали - 4.

Для комплекту параметрів точності поверхні деталі, наведеної на рисунку, вкажіть найдоцільніший метод викінчувального оброблення

0%
0%
0%
0%
View this question

Тема 7, рівень 2, бали - 4.

Вкажіть вірне рівняння для визначення величини ланки S1

View this question

Тема 4, рівень 1, бали - 1.

Одним з головних факторів, які визначають вимоги до технологічності конструкції, є

0%
0%
0%
0%
View this question

Тема 6, рівень 2, бали - 4.

На рисунку зображено умовне позначення у технологічній документації

View this question

Тема 5, рівень 2, бали - 4.

На рисунку подано графічний вигляд

View this question

Want instant access to all verified answers on vns.lpnu.ua?

Get Unlimited Answers To Exam Questions - Install Crowdly Extension Now!

Browser

Add to Chrome