logo

Crowdly

Browser

Add to Chrome

Технології цифрової обробки сигналів і зображень

Looking for Технології цифрової обробки сигналів і зображень test answers and solutions? Browse our comprehensive collection of verified answers for Технології цифрової обробки сигналів і зображень at vns.lpnu.ua.

Get instant access to accurate answers and detailed explanations for your course questions. Our community-driven platform helps students succeed!

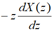
Твердження, що сигналові в області Z відповідає , характеризує властивість Z-перетворення:

View this question

 є:

View this question
Z-перетворенням

сигналу

 є:

View this question

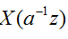
Твердження, що сигналові в області Z відповідає , характеризує властивість Z-перетворення:

View this question

Твердження, що сигналові в частотній області  відповідає  , характеризує властивість

дискретного

перетворення Фур’є

:

View this question

Формула

 визначає

View this question

Модуль   є рівним

View this question

Сигнал

приймає

значення одиниці в діапазоні:

View this question

Твердження, що сигналові в частотній області  відповідає  , характеризує властивість

дискретного

перетворення Фур’є

:

View this question

Твердження, що сигналові в частотній області  відповідає , характеризує властивість

дискретного

перетворення Фур’є

:

View this question

Want instant access to all verified answers on vns.lpnu.ua?

Get Unlimited Answers To Exam Questions - Install Crowdly Extension Now!

Browser

Add to Chrome