logo

Crowdly

Browser

Add to Chrome

Технології цифрової обробки сигналів і зображень

Looking for Технології цифрової обробки сигналів і зображень test answers and solutions? Browse our comprehensive collection of verified answers for Технології цифрової обробки сигналів і зображень at vns.lpnu.ua.

Get instant access to accurate answers and detailed explanations for your course questions. Our community-driven platform helps students succeed!

Твердження, що сигналові в області Z відповідає , характеризує властивість Z-перетворення:

0%
0%
0%
100%
0%
View this question

Вираз є:

0%
0%
0%
0%
100%
View this question

Вираз  є характеристикою:

View this question

Формула

є рівнянням

View this question

Вираз є:

View this question

Сигнал

приймає

значення одиниці в діапазоні:

View this question

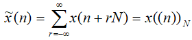
 Вираз  

є

характеристикою:

View this question

Твердження, що сигналові в частотній області  відповідає , характеризує властивість

дискретного

перетворення Фур’є

:

View this question

Твердження, що сигналові в частотній області  відповідає , характеризує властивість

дискретного

перетворення Фур’є

:

View this question

Z-перетворенням

сигналу

 є

View this question

Want instant access to all verified answers on vns.lpnu.ua?

Get Unlimited Answers To Exam Questions - Install Crowdly Extension Now!

Browser

Add to Chrome